True or False:
When solving a system of equations by using elimination, you always eliminate the "x" variable no matter what.
False: You eliminate the variable that will cancel out when you add or subtract the two equations. Sometimes you need to create this situation by multiplying one or both equations by a constant to get one variable to eliminate.
True or False: Given the system below, substitution can be used to replace the 2x with y - 5 and solve for y.
{(2x,+,14y,=,23),(2x,=,y,-,5):}
True: In the two equations you have a "2x" term which is equal to y - 5 in the second equation. You then substitute y - 5 for 2x in the first equation to solve for x.
What method can you rely on to help determine if your answer to a system of equations is correct?
The graphing method!!!!
Write a system of equations for this situation:
Monday, Cathy bought 4 pounds of gummy bears and 7 pounds of MMs for $21.50. Tuesday, Cathy bought 1 pound of gummy bears and 3 pounds of MMs for $6.
{(4g,+,7m,=,21.50),(g,+,3m,=,6):}
The two equations in the system have different slopes.
One solution
To eliminate the x-variable, would you rather use subtraction or addition to solve the system? Explain your reasoning.

Subtraction. It eliminates the "x" variables so that you can solve for "y".
What would your first step be to solve this system of equations using substitution?

-5(2y-15)+4y=3
What is the solution to this system of equations?

(3,-2)
Solve the system in the 100 point question in Applications:
{(4g,+,7m,=,21.50),(g,+,3m,=,6):}
($4.50,$0.50)
{(x,-,7y,=,11),(2x,=,14y,+77,):}
no solutions
To eliminate the y-variable, what would your first TWO steps be in solving this system?

1. Multiply the top equation through by 3.
2. Add the equations.
Solve the system by substitution.

(-3,2)
The solution to a system of equations is (-4,2). Which graph represents the system?

Graph C
This past Saturday, Kern earned $76 removing snow by shoveling for 7 hours and snow blowing for 4 hours. On Sunday, they earned $50 for ONLY snow blowing snow for 10 hours. Solve for the rates this student charges for shoveling snow and snow blowing snow.
The students charges $8/hour for shoveling and $5/hour for snow blowing.
The two equations have the same slope, but hit the x-axis at different points
No solutions
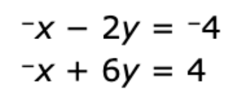
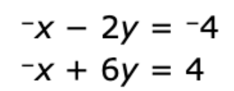
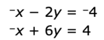
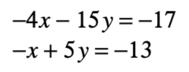
Solve this system of equations

(2,1)
What does x equal?

x = 7.5
When you graph a system of equations and only one line appears in the coordinate plane, then you know there are _________ solutions to this system.
oo
Write the system of equations that models this situation:
A movie theatre charges different prices for adult tickets than for child tickets. A family of 10 with 2 adults and 8 children can go to the movies for $84. A family of 5 with 3 adults and 2 children go to the movies for $51.
{(2a,+,8c,=,84),(3a,+,2c,=,51):}
One equation graphs a vertical line and the other equation graphs a horizontal line.
One solution
Solve

(8, -1)
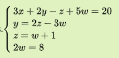
Solve this system of four equations:

x=3, y=-2, z=5, w=4
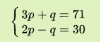
Solve this system by graphing.

p = 20.2, q = 10.4
Solve this system:
{(2a,+,8c,=,84),(3a,+,2c,=,51):}
($12, $7.50)
Which system below has one solution?
A{(x,+,8,=,2/3y),(3x,=,-24,+,2y):}
B{(x,+,6,=,-31),(y,-,x,=,-10):}
B