(2b3+5b4)+(2b3-5b4)
4b3
(5k2+3k)-(5k-2k2)
7k2-2k
4x2(x-1)
4x3-4x2
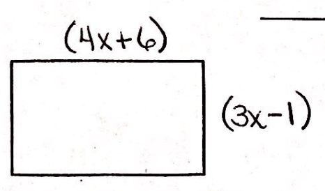
Find the area of the rectangle.

12x2+14x-6
If you cut a quarter into thirds, how many pieces would you have?
Three
(-4x4+13+6x3)+(-10x4+11x3-5)
(-14x4+17x3+8)
(11n+n5-12n2)-(6n5-12n+4n4)
-5n5-4n4-12n2+n
6n3-10n2-2n
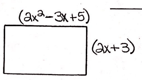
Find the perimeter of the rectangle.

4x2-2x+16
How many syllables are in the word Rhinoceros?
Four
(4-2p4)+(5-7p2-p4)
-3p4-7p2+9
(2p4-6p3)-(4p+6p3+5p4)
-3p4-12p3-4p
(5p+1)(3p-3)
15p2-12p-3
What is the area of the square?
How many states made up the United States before Alaska and Hawaii joined?
(6p-p2-7p4)+(8p2-4p-13p4)
-20p4+7p2+2p
(8n2-n-n4)-(4n+n4+6n2)
-2n4+2n2-5n
(4p+3)(2p2+4p+5)
Given the following rectangle ABCD with the perimeter of 10x2+14x+10.
Find the length of the width AD.

x2+3x+4
If it’s 5:30 when you leave for the store and 6:15 when you get there, how long did it take?
45 minutes
(6x-x3+3x4)+(1+2x3-4x4)+(6-7x)
-x4+x3-x+7
(3p3+5p4)-(2p2-8)-(1+2p2)
(5v2+3v+4)(4v2-2v-1)
20v4+2v3+5v2-11v-4
We are going to put a rectangular pool in our backyard. Find the area of the grassed area or the shaded region?

6x3+3x2-2x+7
If you need 1/2 cup of flour and you only have a 1/4 measuring cup, how many times do you need to use it to get the right about of flour?