
Fill in the Blank: This system of equations has _____ solutions.
No Solutions
Is the point (1,3) a solution to this system of inequalities?

Yes, it is in the double shaded region so it is a solution to both inequalities.
4x(3x + 5y)
12x2 + 20xy
What is the form of the following quadratic equation?
y= (x - 2)2 + 8
Vertex Form
Identify a, b, and c. 
a= 3
b = -4
c = -2


Which graph shows one solution? A or B?
B
Fill in the blank: An inequality with < or > has a ___________ line.
Broken line because points on the line are not included in the solutions.
(x + 3)(x + 5)
x2 + 8x + 15
What is the form of the following equation?
y= 3x2 + 5x + 10
Standard Form
Substitute a, b, and c into the quadratic formula.
y = 2x2 + 3x + 5


Solve the following System of Equations using substitution.
y = 2x + 1
y = 4x - 7
(4, 7)
Fill in the blank: An inequality with ≤ or ≥ has a ___________ line.
Solid line because the points on the line are included in the solutions.
(x - 1)(x + 7)
x2 + 6x - 7
What is the form of the following equation?
y = 5(x - 2)(x + 3)
Factored Form
Find the solution using the quadratic formula.
x2 + 3x - 4 = 0

x = 1, -4
Solve the following system of equations using substitution.
3x + y = 10
y= 5x + 2
(1, 7)
What is the y-intercept in the following inequality.
y ≥ 2x + 8
(0, 8)
(3x - y)(x + 10)
3x2 -xy + 30x - 10y
What is the vertex and Axis of Symmetry?
y = (x + 2)2 + 10
(-2, 10)
x = -2
Find the roots. 
x2 - 7x + 10 = 0
x = 2, 5
Solve the following system of equations.
4x + y =10
-4x - y = -6
no solution
Write the system of inequalities that this graph represents. 

Factor:
x2 + 4x - 5
(x + 5)(x - 1)
What is the vertex and axis of symmetry? 
(2,1)
x = 2
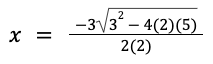
Find the solution.

0 = 3x2 - 4x + 5
No Real Solution