Question:
The line that starts at the center of the circle and connects to a point on the circle
Answer:
RADIUS
What is size of the unknown angle represented by letter (x)?

Answer:
70 degrees
Simplify the following by cancelling:

Answer:
8m/9
Question:
A line that touches two different parts of the circle but does not go through the center.
Answer:
CHORD
What is size of the unknown angle represented by letter (y?

Answer:
22 degrees
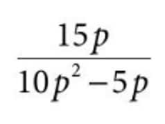
Simplify the following by cancelling:

ANswer:
3/(2p-1)
Question:
A line that is outside the circle but touches exactly one point on the circle
Answer:
Tangent
What is size of the unknown angle represented by letter (y)?

Answer:
48⁰
Simplify the following by cancelling:

Answer:
z/4
Question:
_____ is the distance from the center of the
circle to any point on it's circumference. It is also called a special chord.
Answer:
DIAMETER
Find the missing angle a

Answer:
127⁰
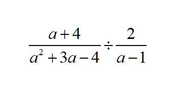
Simplify:

Answer:
(x+4)/(x+3)
Question:
The angle at the circumference is half the angle at the centre.
What do we call it?

Answer:
INSCRIBED ANGLE
Find the missing angle a

Answer:
a=24⁰

Answer:
1/2