This lady of high honor holds the highest rank in the Texas A&M Corps of Cadets.
What is Reveille X (Cadet General)?
Texas is home to this world's largest convenience store in New Braunfels at 66,335 sq. feet (larger than a football field).
What is Bucee's?

This phase of mitosis involves the separation of chromosomes and pulling of sister chromatids to the poles of the cell.
What is anaphase?
This fat yellow mouse evolves from a celebrity if you give it a Thunderstone.
Who is Raichu?

This pioneer of DNA sequencing was once offered a knighthood but declined as he did not want others to address him as "sir."
Who is Frederick Sanger?

What do A&M graduate students yell and act out when cheering at football games?
What is "AYYY WHOOP" and finger down down/up (showing off Aggie ring)?

This university is the worst establishment in Texas and factually have the worst quarterback in college football.
Who is the University of Texas (UT)?


CRISPR stands for...
What is "clustered regularly interspaced short palindromic repeats"?
This powerful half-elf is often referred to as the "Lord of Rivendell."
Who is Elrond?
This biochemist received the Nobel Prize in Chemistry for the elucidation of vitamin B12 with x-ray crystallography. They also defined the first steroid structure and the insulin and penicillin structures.
Who is Dorothy Hodgkin?

This building on campus is named after the agronomist and A&M researcher who received the Nobel Peace Prize, the Presidential Medal of Freedom, and the Congressional Gold medal for his contribution to the "Green Revolution."
What is the Borlaug Center?
(named after Norman Borlaug)

This city in Texas suffered the worst natural disaster in the United States when a hurricane killed over 8000 people in 1900.
What is Galveston?

NAD stands for...

What is Nicotinamide adenine dinucleotide?
This hero wears glasses to control his power of a powerful, concussive, "punch" force originating from another dimension of pure kinetic energy.
Who is Cyclops (Scott Summers)?


This click chemistry pioneer and two-times Nobel laureate was blinded in one eye from an NMR tube explosion, since stating "there's simply never an adequate excuse for not wearing safety glasses in the laboratory at all times."
Who is Karl Barry Sharpless?

This plant in the middle of campus is known for guaranteeing an eternal relationship for couples who pass under it, and eternal loneliness for single people.
What is the Century Tree?

This beverage was invented in Waco, TX in 1885, preceding Coca-cola by one year (technically).
What is Dr Pepper?

This molecule is synthesized directly from an intermediate of glycolysis and stabilizes the T-state of hemoglobin to assist O2 unloading.
What is 2,3-bisphospholycerate (2,3-BPG)?

This eccentric businessman of RobCo Industries was known for his advanced robotics technology and was predominantly headquartered in Vegas in the height of his success.
Who is Robert House (Bobby Apartment)?

This biochemist received the Nobel Prize in Chemistry in 1954 and the Nobel Peace Prize in 1962 for their anti-war and anti-nuclear activism since 1946.
Who is Linus Pauling?

This Texas Senator helped Texas take advantage of the Land-Grant College Act of 1862 which directly allowed the founding of Texas A&M soon after.
Who is Matthew Gaines?

Texas is named after "Tejas," the spelling of "Taysha," a word meaning _______ in the Native American Caddo language.
What is "friend" or "ally?"

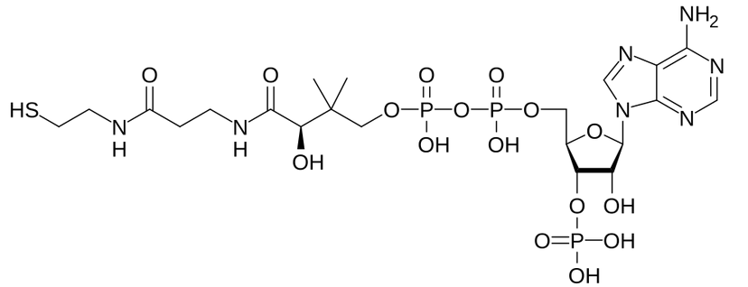
This essential biological molecule is synthesized from ATP, cysteine, and penthonate (vitamin B5).
What is Coenzyme A?

This reindeer ate a "Human-Human" fruit and became a humanoid reindeer. He dreams to one day find a panacea (a cure for any disease).
Who is Tony Tony Chopper?


This biochemist researcher and astronaut has spent a cumulative total of 665 days in space, more than any other American astronaut in history.
Who is Peggy Whitson?
![]()