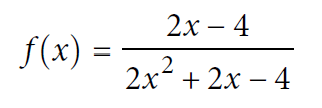
Simplify the rational function.
What is
1/(x+1)?
What is the width of the envelope represented by the data point that is farthest from the line of best fit?
What is 7?
In a bowl of fruit, there are 4 apples, 3 pears, 5 bananas, 2 plums, and 6 peaches. What is the probability that a piece of fruit chosen at random from the bowl is not a peach?
What is 7/10?
What is the domain of any quadratic function?
What are all real numbers?
There are about 3 feet per meter and 1,000 meters per kilometer. Two cities are 1,800,000 feet apart. Approximately how many kilometers apart are the two cities?
What is 600 km?
Simplify
(6x^2-19x+3)/(4x^2-36)
What is
(6x-1)/((4)(x+3)
Find an equation that best describes the trend line for the scatterplot below.
What is y=3x^2+1 ? (or anything that meets the condition)
What is the approximate probability that a given player will pass at least four levels in this game?
What is 2/3?
|2x+9|=4x-3 Find the the set of all solutions.
What is the value of
y-x, if 6x-4y=8 and 5y-7x=12
12
Multiply
(x+2)/(4(x+8))*2/(x+2)
What is
1/(2(x+8)
For the player with 450 times a bat, the actual number of hits the player had is approximately how many fewer than the number of hits predicted by the line of best fit?
What is 20? (or anything close to 20)
What is the probability that the infant is not within the healthy weight range?
What is
13/62?
For what values of x is
|x-6|>=6x-1?
What is
x<=1?
A bed costs $40 less than three times the cost of a couch. If the bed and couch together cost $700, how much more does the bed cost than the couch?
What is $330?
Divide.
(x+2)/(x^2-4)divide(x+3)/(x-2)
What is
1/(x+3)
Ray rolls two fair 6-sided dice. What is the probability that both dice show an odd prime number?
What is
1/9?
The functions f(x) (red) and g(x) (blue) are graphed in the xy-plane below. What is the value of f(-2)-g(2) ?
What is 3?
At a certain coffee store, a small bag of beans costs $2.50 and a large bag of beans costs $15. If the store sold 27 small and large bags of beans and had $155 in revenue in one week, how many small bags were sold?
What are 20 small bags (and 7 large bags)
Simplify 
What is
(2(x+6)(x+5))/((3x-2)(x+5))
There is 25% chance of rain on Saturday and a 60% chance of rain on Sunday. Assuming that the chance of rain is independent of the day, what is the probability that it will rain on Saturday but NOT rain on Sunday?
What is 5%?
Name the function that describes the tables below.
What is
f(x)=3^x?
A certain city has 2,625 total businesses. The ratio of businesses that do not require safety inspections to those that do require safety inspection is 5:2. Of the businesses that were required to have inspections, 12 percent had safety violations. How many businesses that required inspection had safety violations?
What is 90?