What are the coorindates of the point after a reflection across the x-axis?

(1,3)
Write an equation for the graphed line in slope-intercept form.

y=4
Solve the equation for x. Show all work!
2𝑥 − 4 = 5 − 3x
9/5
Which of these statements is true about the amount of water in the container over time?
A. Increasing at 2 gallons per minute.
B. Increasing at 10 gallons per minute.
C. Decreasing at 2 gallons per minute.
D. Decreasing at 10 gallons per minute.

C
Which expression is the same as 412?

A
Which statements are correct about the two drawings?
A. The smallest circle in Juan's design is congruent to the smallest circle in Zahra’s design.
B. The two designs are congruent.
C. If you translate Juan's design 14 units to the right, you get Zahra's design.
D. Each circle in Juan's design has a congruent circle in Zahra's design.

A and D
Which points would make this equation true?
2𝑥 + 4𝑦 = 20
(0,5) (0,10) (1,2) (5,0) (10,0)
(0,5) and (10,0)
Solve the equation for x. Show all work.
3(𝑥 – 7) = 2(𝑥 − 12)
-3
A Cylinder has a volume of 78 cubic centimeters. What is the volume of a cone with the same radius and height?

26 cm3
About how many more people live in California than Maine?
A. 2. 6 · 106
B. 2. 6 · 107
C. 3. 77 · 106
D. 3. 77 · 107

D
Which of the lines has a slope of 5/2?

B and C
Write an equation for the graphed line.

y=-2x + 4
Which of these systems of equations would have no solution?

B
Qualitiy Plumbing charges are based on this graph. If they charge a call out fee and a rate per hour, what is their call out fee?

$150
What number is represented by the point P? Write your answer in scientific notation.

5.7*10^-3
Which statement is true?
A. Dilations of a triangle keep angle measures the same.
B. Dilations of a triangle keep side lengths the same.
C. Dilations of a triangle must be congruent to the original triangle.
D. Dilations of a triangle always make the sides longer.
A
Which runner is going the fastest?

Runner 3
Write another equation that would cross the other line at the point (6,2).

Answers vary.
A-Plus Plumbing charges a call out fee and a rate per hour. Their prices can be seen in this table. What is their call out fee?

$80
Which planet has a larger mass? How much larger in scientific notation.

Earth.
1.1*10^24
These two triangles are similar. What are the missing side lengths of Triangle DEF?

2.01 and 2.68
A cell phone plan costs $200 to start. Then, there is a $50 charge each month.
Write an equation to find the total cost, C, for any amount of months, m.
C=50m + 200
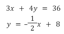
Solve this system of equations. Show all work. Write your answer as an ordered pair.

(4,6)
Calculate the volume of this cone if it has a radius of 3in.

84.78
A person blinks about 20 times each minute.
About how many times will a person blink in 80 years (4. 2 · 107 minutes)?
Write your answer correctly in scientific notation.
8.4 *10^8