If forces are moving in the same direction, _______ the forces.
What is add?
What is force?
Produced by a current of electricity flowing through a wire.
What is a magnetic field.
Two main components of a generator.
What are permanent magnets and a coil of conductive wire (copper).
Name the two poles of a magnet.
What are north & south?
What are the 3 subatomic particles in an atom?
proton, neutron, electron
An object in motion tends to stay in motion & an object at rest tends to stay at rest unless acted upon by an unbalanced force.
What is Newton's 1st law?
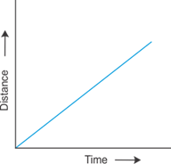
Motion of the object represented by the graph below
What is traveling at a constant speed.
Three components of a simple electromagnet.
What are core, solenoid, power source.
Part of an electric motor responsible for switching current and magnetic field.
What is commutator.
Two types of charges in electric force
What is positive and negative

Which two subatomic particles can balance the charge of an atom?
Proton and Electron
Newton's 2nd Law shows there is a direct relationship between ___________ and __________
What is force and acceleration?
A force of 250N is applied to an object that accelerates at a rate of 5 m/sec2. What is the mass of the object?
What is 50kg?
Type of material most commonly used for the core of an electromagnet.
What is iron.
A coil of wire moving within two ______________, creates an electric current, also known as electromagnetic induction.
What is Permanent Magnets/Magnets
Name the three magnetic elements?
What are iron, nickel, & cobalt?
The atomic number tells us the number of ____________ within an atom.
Protons
Newton's third law is known as the _______ and _________ law.
What is action & reaction?
The motion of the object represented by this picture 
What is an object traveling at a constant speed
3 ways to increase the strength of an electromagnet.
What are increase the number of coils, increase the strength of the power source, increase the strength of the core.
2 ways to make a generator stronger.
What are more coils and stronger magnets.
Which subatomic particle is transferred easily that changes the charge of objects?
What is the charge of the atom below?

Neutral
If I kick a soccer ball with 100N of force, how many newtons of force is the soccer ball pushing back on my foot?
100N
Motion of the object pictured in the graph
What is an object at rest
What are can be turned on/off, control the strength of the magnet, and reverse the polarity of the magnetic field.
3 ways to make an electric motor stronger.
What are:
1) More powerful Magnets
2) More coils in the armature
3) Stronger power source
Two things the size of electric force depends on.
What are:
1) distance of the charges
2) size of the charges
What is the charge of the atom below?
Neutral
Net force of the image below

What is 100N Left
The perspective or viewpoint from which something is observed or measured, like a stationary object on the ground or a moving train
Frame of Reference
Missing from below electromagnet

What is core
4 main parts of a simple electric motor.
What are:
Power Source
Armature (Electromagnet)
Commutator
Permanent Magnets
The interaction between the charged particles below
What is repelling.
An atom is considered a ______________ because it has parts that work together to make a whole.
System