3xx5-8(-3)-|4(-2)|
What is 31
0.375 in fraction form.
What is 3/8?
Melanie bakes chocolate chip cookies. Her recipe calls for 3 cups of flour for 24 cookies.
The unit rate is the amount of flour per cookie.
What is 1/8 c of flour?
In the following equation of proportionality
y=7.5x, it's 7.5.
What is the unit rate?
What is the constant of proportionality?
Evaluate yz - y for y = -0.6 and z = -3.
What is 2.4?
Find p
3p + 4 = 19
What is p=5?
Solve for x.
9x - 6x + 2x - 4x = 40
What is x=40?
GCF(18, 24, 12)
What is 6?

in fraction form.
What is

Two ratios form a proportion when they are equivalent fractions.
Do the ratios 4:6 and 13:54 form a proportion?
What is an example of two un-proportional ratios?
Percent of change from 4 to 7
What is 75%?
8(g+5) is such an expression to 8g + 40
What is an equivalent expression to 8g+40?
Evaluate for n=3, x=216
root(n)(x)
What is 6?

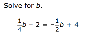
What is b=8?
(1/2+5/6)/(2/3-1/9
Simplify to lowest terms and leave as improper
What is
12/5
0.000623 in scientific notation
What is
6.23xx10^-4
Complete the following statement:
120% of $10 is: ____
What is 12?
Find p.
What is 25%?
Subtract
(9y + 9) - (6y + 4)
What is 3y +5
Find x.
3(x - 81) = 48
What is 97?
-45x+17-3=-73x-70
What is
x=-3
4/5*(3/8)/(9/25)
Simplify to lowest terms
What is
5/6
121 is its square.
What is 11?

What is 9?
Percent decrease from 72 to 60.
What is -20%?
Simplify the following expression:
What is -48 - 63b
Find p.
-p<-2
What is p>2?
This equation has this many solutions:
8x + 4 = 5x + 2 + 3x +2
What is an equation with infinitely many solutions?
837 -: 13
Rounded to the nearest tenths place
What is 64.4
64 is a perfect square and a perfect cube.
What is the square of 8?
or
What is the cube of 4?
The following are all examples of such relationships:
y = 2x
y = 4.5x
y = 7x
What are examples of equations of proportional relationships?
A store buys shoes for $88 and sells them with a 28% markup. Find the markup amount.
What is $24.64?
Factor the expression:
72r + 24s - 64t
What is -8(-9r - 3s + 8t)
or what is 8 (9r +3s - 8t)?

What is

The y-coordinate of the point on the graph where the line crosses the y-axis.

What is the y-intercept $50?