Where do our backpacks go?
In the square in the back of the class.
Rectangle AREA formula
A=b x h
In order for the WHOLE class to leave all ______ must be picked up and all ______ must be tucked in.
trash & chairs
Uniform/Dress code Violation
Call home & Uniform will be changed, with the exchange of valuable
Is there a seating chart?
YES
How do we know what page we should turn to on the book?
By looking at the board.
Triangle AREA
A= 1/2 b x h
You must ALWAYS be ________ to teachers and classmates.
RESPECTFUL
If I see you using your phone or it is ON you....
Teacher will take it away and turn it in to office.
When are students allowed work with partners?
When teacher says so/ Independent Time
What is the only way Ms. Rodriguez will allow you to step out of the classroom?
By creating a Pik My Kid Pass.
Triangle Interior Angle Sum
180*
Students will us _______ to get up from their seat.
hand signs/signals
After your late 3 times OR you walk out....
lunch detention/reflection & phone call home
Students are allowed to go to the restroom _________.
AFTER the lesson/ when teacher is done teaching.
How do we get the teachers attention?
Raising our hand.
Pythagorean theorem
a2+b2=c2
Students will treat ______ & _______ with care.
calculators & protractors
Skipping....
2-3 days of lunch detention/reflection & phone call home
When the teacher is teaching the lesson we must ______ & _______.
paying attention & quiet
What do we commonly do once we step into Ms. Rodriguez class? (name 3 things)
1. Place belongings in the back
2. Grab book
3. Turn to page stated on the Do Now & Complete it
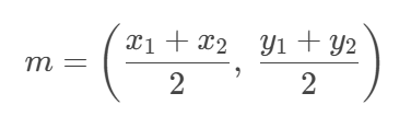
Midpoint Formula

Food & drinks are allowed as long as students ______ after themselves.
cleanup
After 3 minor referrals.....
You will get a Major Referral & a parent/ student/admin/ teacher conference will be held
Although it is called homework when must we try to complete the given homework?
After lesson when we have partner time