It's is the area of a triangle with side lengths 5, 29, 30.
What is 72?
These are the four main components of a division equation.
What is the dividend, the divisor, the quotient, and the remainder?
This x is the smallest integer value that solves the following equation, where a and b are both integers.
x = 533a + 4961b
What is 41?
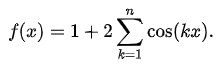
A function with this property results in an "overshoot" within its Fourier expansion, named after physicist Josiah Gibbs.
What is a jump discontinuity?
This French mathematician generalized the Riemann integral and pioneered measure theory.
Who is Henri Lebesgue?
Daily Double
Estimate the number of different scalene triangles with integral lengths that have a perimeter less than 1,000.
This is the fahrenheit equivalent to -40°C.
What is -40°F?
Let g be the function g(a,b) = a2+16b2=16. This is the minimum value of x if
x = a2 + 2b2
What is 2?
In 1910, the following infinite series was found to converge to this mathematical constant.

What is 1/π?
This German mathematician introduced the triple bar (≡) for congruence in modular arithmetic, but their name is associated more with the bell curve.
Who is Carl Friedrich Gauss?
Let △ABC be inscribed in a circle centered at O. The central angle about AC is 120°, and that about BC is 72°. This is the magnitude of ∠OBE, where E is drawn such that OE and AC are perpendicular.

What is 12°?
This is the Mean Absolute Deviation (MAD) of the following set of values:
{2, 4, 6, 8, 10, 12}
What is 3?
A monkey types randomly on a simple typewriter (44 keys) at approximately 130 keys/min over 5 hours. Let X be the random variable denoting occurrences of the string 'hi'. This is the expected value of X.
The notion that a property holds "almost everywhere" implies that it holds for all elements of a set except for this.
What is a set of measure zero?
This person is the namesake of Cartesian Geometry.
Who is René Descartes?
Trigonometric functions sin(x) and cos(x) are not bounded under this domain for x.
What is the complex plane?
It's pair (x, y) solves the following system:
x - 4y = -2
3y + xy = 12
x - xy + 2y = 1
What is (3, 2)?
Sally is completing a coloring page with x markers. To fulfill her particular aesthetic, this is the minimum x she needs to make sure no two colors are adjacent.
What is 4?
Within set theory, it's the hypothesis that establishes the relative cardinalities of the set of integers and the set of real numbers.
What is the continuum hypothesis?
Revolutionizing set theory, this mathematician found that maybe you can count to infinity with the help of a snake.
Who is Georg Cantor?
With the angle sum and difference identities, the Dirichlet kernel converges to this limit.

What is

This 3D shape can be formed using the following net
.jpg)
What is an octahedron?
A repunit is a natural number whose digits are all equal to 1, i.e., {1, 11, 111, ...}. Let x denote the positions of all of the repunits divisible by 7. This is the smallest value of x.
What is 6?
Daily Double
Estimate the value of this integral

This mathematical paradox states that from 1 three-dimensional ball, you can produce 2 identical ones.
What is the Banach-Tarski Paradox?