Write two multiplication equations that represent the following array.
___ x ___ = ____

3 x 4 = 12
4 x 3 = 12
Alejandro leaves his house at 7:23am. It takes him 15 minutes to get to school. What time does Alejandro arrive at school?
Hint: You can draw a number line.
7:38am
Write two multiplication equations for the following array.
___ x ___ = ____

2 x 3 = 6
3 x 2 = 6
This is the commutative property!
Shawe has 2 boxes of books. Each box contains 5 books. How many books does he have in total?
5 x 2 = 10
Shawe has 10 books in total.
What is 52 rounded to the nearest ten?
50

Look at this array. Select the two equations that represent the group of blue dots.
a. 5 + 3 = ___
b. 3 x 5 = ___
c. 3 + 3 + 3 = ____
d. 5 x 5 x 5 = _____
e. 3 + 3 + 3 + 3 + 3 = ____
b. 3 x 5 = ___
e. 3 + 3 + 3 + 3 + 3 = ____
Yisaac and Axel want to see who can kick a soccer bar farther. Yisaac kicks the ball 183 m. Axel kicks the ball 260 m. How much farther did Axel kick the ball?
260-183=
77m
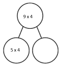
Fill in the blanks using the distributive property to find the total number of circles in this array.
(___x 2) + (___x 2) = (___x 2)
(5 x 2) + (2 x 2) = (7 x 2)
Bonus if you solved:
10 + 4 = 14
7 x 2 = 14
Damian has 32 pieces of candy. He is putting an equal number of candy into 4 bags.
Select the two equations that can be used to find the number of pieces of candy that Damian put into each bag.
a. 4 ÷ ___ = 32
b. 4 x ___ = 32
c. 32 x ___ = 4
d. 32 ÷ 4 = ____
e. 32 x 4 = ___
b. 4 x ___ = 32
d. 32 ÷ 4 = ____
What is 156 rounded to the nearest hundred?
200
Write one repeated addition equation and one multiplication equation to represent the array.

___ + ____+ .... = ___
___ x ___ = _____
4 + 4 + 4 + 4 + 4 = 20
5 + 5 + 5 + 5 = 20
4 x 5 = 20
5 x 4 = 20
Sayge brought 257 mL of water on a hike. He had 129 mL leftover. How much water did he drink?
257 - 129 =
128 mL

Look at the number bond.
Write the multiplication expression that completes the blank section of the number bond.
___ x ___
4 x 4
This is the distributive property!
Draw and label a tape diagram to solve.
Daniel makes 25 cookies. He gives the same amount of cookies to each of his 5 friends. How many cookies does each friend get?
25 ÷ 5 = 5
Each friend gets 5 cookies.
What is 273 rounded to the nearest ten?
270
Write a division equation and a multiplication equation to represent the array.
___ x ____ = ____
___÷ ____=____
9 x 3 = 27
3 x 9 = 27
27 ÷ 3 = 9
27 ÷ 9 = 3
507 - 448 =
59 L
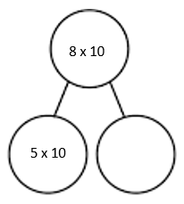
Fill in the blank section of this number bond with a multiplication expression.
____ x ____

3 x 10
This is the distributive property!
Michelle has 16 beads. She uses 4 beads to make each bracelet. How many bracelets does she make?
16 ÷ 4 = 4
Michelle makes 4 bracelets.
What is 345 rounded to the nearest hundred?
300
Write two division equations for the array.

___ ÷ ____ = ____
12 ÷ 3 = 4
12 ÷ 4 = 3
Maleeya and Seria are comparing how much candy they got on Halloween. Maleeya's candy weighs 435 g. Seria's candy weighs 567 g. How much more does Seria's candy weigh than Maleeya's?
567-435=
Seria's candy weighs 132 g more than Maleeya's.

Look at the array.
Which expression below represents the total number of squares?
a. (8 x 3) + (8 x 3)
b. (5 x 3) + (2 x 3)
c. 15 x 6
d. 5 x 3
b. (5 x 3) + (2 x 3)
This is the distributive property!
9 children share 27 dominos equally. How many dominos does 4 children get?
27 ÷ 9 = 3
4 x 3 = 12
4 children get 12 dominos.
What is 1,258 rounded to the nearest ten?
1,260