What do we call the part of a solution that gets dissolved?
What do we call the part of a solution that does the dissolving?
Solute - Dissolved
Solvent - Dissolving
When you agitate a solution it makes it dissolve _______.
Faster
What is the formula for calculating speed?
Speed equals Distance/Time
What does velocity always have?
A Speed with a Direction
When is the object At Rest

R and S
Adding more water to Kool-Aid makes it weaker. What word describes this?
Dilution
Which of these has a faster rate of dissolution? Why?
The granulated sugar. Surface Area
A car goes 100 km in 2 hours. What is its average speed?
50 km/h
If Altuve hits a home run and touches all the bases to come back to home plate and score, what is his displacement?
0
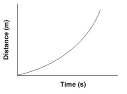
What is happening in this motion graph

The object is speeding up or accelerating
Which solution is the most concentrated?

5
What are the 3 main factors of the Rate of Dissolution?
Temperature, Surface Area, and Agitation
A student recorded the distance a bus traveled each hour of a trip:
Time Distance (km)
First hour 50
Second hour 40
Third hour 30
The trip took 3 hours. What was the bus’s average speed?
40 km/h
Two cars drive at 30 mph. One goes east, the other west. Do they have the same velocity?
No
What does this graph represent

Constant Speed
A student mixes Gatorade powder with water. It tastes too strong. How they can dilute it and what happens to the concentration?
Add more water (solvent), it will decrease the concentration.
A student drops three sugar cubes into three cups of water:
Cup A: hot water, stirred
Cup B: hot water, not stirred
Cup C: cold water, stirred
Which cup will dissolve the sugar cubes the fastest, and why?
Cup A, because higher temperature and stirring both increase the rate of dissolution
A bus traveled 120 kilometers in 2 hours, stopped for half an hour, and then traveled 60 kilometers in 1.5 hours. What was the bus’s average speed for the entire trip (including the stop)?
45 km/h
Which of the following is velocity and not speed?
A. 5 m/s
B. 50 km/h
C. 10 m/s east
D. 30
C. 10 m/s east
Which point represents 1 meter per second

D
Mr. Brown stirs sugar into iced tea until no more sugar will dissolve and some sits at the bottom of the glass. What type of solution has he made?
A saturated solution
A student tries to dissolve sugar in four different cups of water.
Cup A: cold water, whole cube, not stirred
Cup B: warm water, whole cube, stirred
Cup C: cold water, crushed sugar, stirred
Cup D: warm water, crushed sugar, stirred
Which cup dissolves the sugar the fastest, and why?
Cup D, because warm water, crushed sugar, and stirring all increase the rate of dissolving
A student recorded how far her family drove on a Saturday outing. The data table shows the trip:
Trip Distance (km) Time (hours)
Home to the zoo 12 0.40
Zoo to the park 8 0.25
Park to the restaurant 10 0.50
What were the average speeds (in km/hr) for each part of the trip?
30 km/h
32 km/h
20 km/h

Who had the same velocity? Who had the same speed?
Velocity-Ellen and Deidre
Speed-Melissa and Ellen
What is happening to the object in this graph at 12:30

It is reversing direction and ends up back at its starting point.