4.2A Place Value
4.3D Compare Fractions
Angles
Convert Measurements
4th Grade Math
100

In the number shown, one digit is underlined and one digit is circled.

Which statement about the circled digit is true?

A.Its value is 10 times greater than the value of the underlined digit.

B.Its value is  the value of the underlined digit.

C.Its value is 70 times the value of the underlined digit.

D.Its value is  the value of the underlined digit.

B.Its value is  the value of the underlined digit.

100

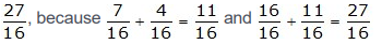
Ms. Thompson needs 15/2 yards of red fabric and 7 1/2 yards of silver fabric. Which comparison is true?

A.

B.

C.

D.None of these


B.

100

What is the measurement of a Right Angle?

90 degrees

100

The Cub Scouts are hosting an ice cream social for the police officers in their town. The table shows the equivalent number of cup-sized portions that can be made from different numbers of gallons of ice cream.

 

How many cup-sized portions of ice cream can be made from  gallons?

88 cups

100

The number of movie tickets sold at a theater last year can be written in expanded notation, as shown

(8 x 100,000) + (6 X 1,000)

 What is this number written in standard form?

806,000

200

Which number has the digit 8 in a place-value position that is one-tenth the value of the digit 8 in the number 149,358,724.94?

A.149,359,724.84

B.149,357,824.94

C.149,385,724.944

D.149,352,784.94

B.149,357,824.94

200

The models are shaded to represent two fractions.

Which statement correctly compares these two fractions?

A.

B.

C.

D.None of these

A.

200

What is the measure of angle RST to the nearest degree?

A.40°

B.50°

C.130°

D.80°

A.40°

200

Fie needed wood to make her school project. The store had a sign to help customers decide how much wood they needed. If Fie needed 36 feet of wood, how many yards of wood should she ask for?


12 yards

200

A factory makes 400 refrigerators every day. The factory makes 125 more stoves per day than refrigerators. Which equation can be used to find x, the total number of refrigerators and stoves the factory makes in one day?

A.x = 400 + 400 + 125

B.x = 400 + 125

C.x = 400 + 400 - 125

D.x = 400 - 125

A.x = 400 + 400 + 125

300

What number completes the equation below?

______ x 10= 5,600

560

300

The thickness of Jacob’s cell phone is  inch. The thickness of Crosby’s cell phone is less than Jacob’s.

Which measurement could be the thickness of Crosby’s cell phone?

A. inch

B. inch

C. inch

D. inch

C. inch

300

Which angle does NOT appear to have a measure of 54°?

A.

B.

C.

D.


C

300

Patricia is filling a punch bowl with ginger ale. She filled a 2-cup container with ginger ale 8 times and poured it into the bowl.

How much ginger ale did she pour into the bowl in all?

A.2 gallons

B.8 pints

C.16 pints

D.8 quarts

B.8 pints

300

The United States produces over seventeen million, five hundred thirty-three thousand cubic feet of timber a year. What is this number written in standard form?

17,533,000

400

Consider the following numbers:

0.45 0.54 4.50

Which number has a 4 with a value of  1/100 the value of the 4 in 40.50?

A.4.50

B.0.54

C.0.45

D.Not here


C.0.45

400

Model A and Model B are shaded to represent two fractions.

 

Write a statement comparing fraction A and fraction B.

10/15  > 5/10

400

Caleb is using his protractor to measure angle z. What is the measure of angle z?

130 degrees

400

Jeremy and Stephen decided to start a lawn business. They loved to fertilize lawns. To make their fertilizer they needed to mix 7 gallons of water with the dry mix.

How many quarts of water do they need to use?  

Below is a chart from the back of the fertilizer bag.

28 Quarts

400

The list shows the numbers of books donated to a library on fourteen days.

 0, 1, 4, 4, 6, 7, 8, 8, 9, 12, 12, 16, 16, 17

 The librarian made this frequency table to show the data. The frequency table is not complete.

 

 Which row of the frequency table is incomplete?

A.The row showing 0 to 4 books

B.The row showing 5 to 9 books

C.The row showing 10 to 14 books

D.The row showing 15 to 19 books

A.The row showing 0 to 4 books

500

What number completes the equation below?

______ x 100= 2

0.02

500

Lee has 16 fish in his fish tank.


What fraction of the fish are not gold or black?

A.

B.

C.

D.

A.

500

Marsha was practicing constructing angles with a protractor. She drew the angle shown below.


The measurement for  is:

A.Between 45° and 90°

B.Between 30° and45°

C.Between 90° and 135°

D.Greater than 180°


C.Between 90° and 135°

500

Equivalent measures are shown in the table.

The Jones family drank  gallons of milk in three days. Based on the information in the table, how many quarts of milk did they drink?


14 Quarts

500

The list shows the lengths of twelve strings in inches.
26, 30, 19, 21, 24, 26, 18, 31, 27, 21, 17, 29

Which plot represents the data in the list?

A.

B.

C.

D.

D