Fun Theorem
The x-intercepts of the following:

What are 2 and -2 ?
The equation for the following curve:

What is
f(x)=(x-2)^2+1
The factored form of the following:

What is
(x+3)x(x-3)=0
The function family of the following curve:

What is exponential?
The identity of a multiplicity of greater than one in the following:
x(x+3)^2(x-2)(x+2)=0
What is -3?
The equation of a line that best fits the following scatter-plot:

What is
y=-x+4 ?
How many imaginary roots do the following equations have in the correct order:
x^2-2=0 and 2x^2-x=-5
What are 0 and 2?
The equation that best fits the following data:

What is
2x^2+1
All the solutions for:
9x^3+36x^2-4=x
What are
-1/3, 1/3, and -4 ?
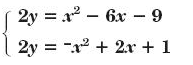
The solutions to the following system of equations:

What are (5, -7) and (-1, -1)?