Round to the Leading Digit
Name the Point on the Number Line
Round to the Whole Number
Round to the Given Place Value
Order/Compare Decimals
100

Round the following number to the leading digit: 569

569 rounds to 600 because the leading digit is in the hundreds place and the 6 in the tens place tells the 5 to round up

100

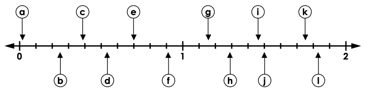
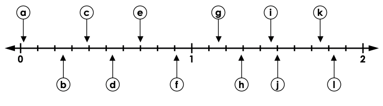
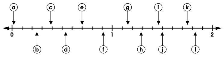
Name the decimal value of e

0.7

or seven tenths

100

True or False:

When rounding, look to the left to tell you how to round.

FALSE!!


Look to the RIGHT to round.

100

Round to the nearest tenth. 

8.54

8.5

100

Complete the statement with <, >, or = 


0.31 _____ 3.10

0.31 < 3.10

200

Round the following number to the leading digit: 14,000

14,000 rounds to 10,000

200

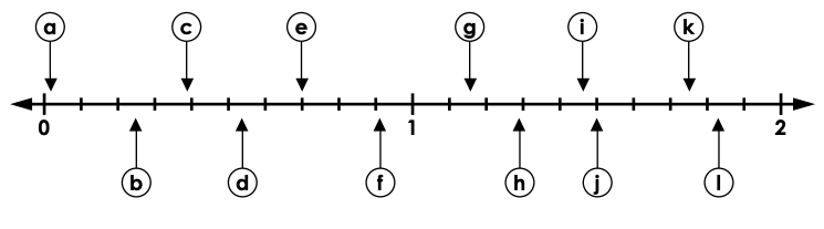
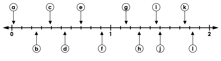
Name the decimal value of j

1.5

or

one and five tenths

200
What is the rounding rule?

Look to the right.

If that digit is...

5 or more, "up the score"

4 or less, "let it rest"

200

Round to the nearest whole number. 

99.59

100

200

Complete the statement with 

<, >, or =


0.5 _____ 0.62

0.5 < 0.62

300

Round the following number to the leading digit:

5.79

5.79 rounds to 6 because the leading digit is in the units place. The 7 in the 10ths place tells the 5 to round up.

300

Name the decimal value of k

1.75

or

one and seventy-five hunderedths

300
Round the following number to the whole number:


4.9

5

300

Round to the nearest hundredth. 

716.514

716.51

300

Find the greatest decimal:


2.9 and 2.75 and 2.6

2.9

400

Round the following number to the leading digit:

0.9999

1

400

Which letter above would be named 0.38?

C

400

Round the following number to the whole number:

8.3

8

400

In the number 2039.876, what digit is in the tenths place?

8

400

Write the following decimals in order from least to greatest:


7.5      6.95      7.58

6.95, 7.5, 7.58

500

Round the following number to the leading digit:


0.0019999

0.002

500

Which point is named one and forty-seven hundredths?

i

500

Round the whole number, then add:


3.8 + 7.6

4 + 8 = 12

500

Write the following number in words:

One hundred and twenty-five thousandths

100.025

500

Write the following decimals in order from least to greatest:


24.95      23.9      24.5

23.9, 24.5, 24.95