Math
Science
History
English
PE
Chorus
100

When reading a graph do you read it from right to left or left to right?

What is 

LEFT TO RIGHT

100

These are the thread-like structures made of DNA located in the nucleus of a cell that contains genetic information. 

What are

CHROMOSOMES

100

Name the three Branches of government.

What is 

LEGISLATIVE, JUDICIAL, AND EXECUTIVE

100

Kino carries this into town at the end of the novella.

What is

A RIFLE

100

What is the only sport to be played on the moon?

What is 

GOLF

100

What is the word for a person who writes music?

What is

A COMPOSER

200

Name the axis that represents the dependent values in any given relation.

What is

Y-AXIS

200

This type of cellular transport requires energy and moves substances against their concentration gradient.

What is 

ACTIVE TRANSPORT

200

The first 10 Amendments of the Constitution are called what?

What are

THE BILL OF RIGHTS

200

The allusion that is made Before We Were Free when Anita writes in her diary while in a closet. 

WHAT IS

THE DIARY OF ANNE FRANK

200

During which inning is "Take Me Out to the Ballgame" traditionally sung?

What is

THE 7TH INNING

200

This is when a piece of music changes from one key to another key.

What is 

MODULATION

300

The solutions of a quadratic equation are also referred to as two other terms. State one of these terms.

What is 

ZERO/ROOTS

300

This is the process by which a cell's cytoplasm divides, following the division of the nucleus, resulting in two daughter cells.

What is 

CYTOKINESIS


300

This group of english settlers are credited of establishing the Mayflower Compact.

Who are

THE PILGRIMS

300

The character in Before We Were Free who is a living example of foreshadowing: 

Who is 

CHUCHA

300

In football, where do you have to go in order to score a touchdown?

What is

THE END ZONE

300

A symbol indicating to gradually get louder over time.

What is

A CRESCENDO

400

Lines and parabolas are examples of functions. Define what it means to be a function. .  

What is 

EVERY X-VALUE HAS ONLY ONE Y-VALUE

400

This symbiotic relationship occurs when one organism benefits and the other is neither helped nor harmed

What is 

COMMENSALISM

400

During the 1700s the French and British empires fought to control this disputed area?

What is

THE OHIO RIVER VALLEY

400

Name the italicized part of speech in the following sentence: 

Mr. Wood lent Mr. Kane the Phillies hat. 

What is 

AN INDIRECT OBJECT

400

What are the colors of the Olympic Rings?

What is

BLUE, YELLOW, BLACK, GREEN, AND RED

400

"Largo", "Andante", "Moderato", and "Allegro" are all examples of__________________.

What is 

TEMPO (SPEED) MARKING

500

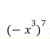
 is equal to what expression?

What is 

OR

500

This is the name for the viral replication cycle in which the viral DNA integrates into the host cell's DNA and remains dormant before eventually becoming active.

What is 

THE LYSOGENIC CYCLE

500

This Battle fought during the Revolutionary War is viewed as a turning point because it convinced the French to back the Patriots/Americans? 

What is

THE BATTLE OF SARATOGA

500

Name the type of prep phrase in the following sentence:

In the morning the teachers run to the coffee machine. 

What is 

AN ADVERB PHRASE

500

What term is used to indicate that a player has zero points in a game of tennis?


What is 

LOVE

500

"Tenuto", "Accent", "Staccato", and "Marcato" are all examples of what?

What are

ARTICULATIONS