Simplify ((x3)3)1
x9
A proportional graph has has two requirements. What are the two requirements?
It must be a straight line and pass through the origin (0,0)
Yes/No. Does y = x2 represent a proportional relationship?
No, because proportional relationships are in the form of y = kx where k is the constant of proportionality. The x variable has an exponent of 1. In y = x2 , the x variable is squared.
Find the LCM of 8 and 22
8 = 23
22 = 2 X 11
LCM = 23 X 11 = 88
What is 56.78 × 107 written in scientific notation?
Only 1 non-zero number in front of decimal
5.678 x 108
The expression x400/x200 is equivalent to
x200
For the equation y = 2x + 1, what is the y-coordinate for a point that has an x-coordinate of 3?
y = 2(3) + 1
y = 7
What is the constant of proportionality if 2y = 5x?
y = 5/2 x
y = 2.5x
k = 2.5
Find the GCF of x4y2 and x7y
GCF = x4y
If the number 5x7 is divisible by 9, where x is the tens digit of the three-digit number, find x
5 + x + 7 = divisible by 9
12 + x = divisible by 9
x = 6
The expression (4x2)3 ∙ x2 is equal to
64x8
y = x2 + 1
Find the y-coordinate for a point that has a an x-coordinate of -2.
y = (-2)2 + 1 = 4 + 1 = 5
What is the percent change from 40 to 100?
Percent change = (new - old) X 100 / (old)
Percent change = (100 - 40) X 100 / (40)
Percent change = 60 X 100 / 40
Percent change = 150%
What type of numbers will have an odd number of factors?
Perfect squares because two of the factors are the same
36 = 6 X 6
What is 0.0016 written in scientific notation?
1.6 x 10-3
Simplify (3xyz)2(xyz)3
9x5y5z5
y = 5 – 2x
If a point has a y-coordinate of -1, what is the x-coordinate?
-1 = 5 - 2x
You can do a little guess and check. 2x = 6
x = 3
The length of a rectangle is decreased by 20%. The width of the same rectangle is decreased by twice the percentage of the change in the length. What is the percent change in the area of the rectangle?
Choose values for the length and width
Let length = 100 and width = 100
New length = 80
New width = 60
New Area = 80 ∙ 60 = 4800
Original Area = 10000
Percent change 10000 --> 4800 is a change of 5200 which is 52% decrease
How many factors does the number 1,000 have?
Prime factorization = 23 x 53
Number of factors = (3+1)(3+1) = 16
Use the divisibility rule to see if 14,322 is divisible by 7.
Rule for 7: double the last digit and subtract from the rest to see if it is divisible by 7
2 x 2 = 4
1432 - 4 = 1428
1428 use the divisibility rule again
142 - 16 = 126
Use the divisibility rule again
12 - 12 = 0
0 is divisible by 7 so 14,322 IS divisible by 7
For the equation 315 ∙ 2710 = 3x, find x
315 ∙ 2710 = 3x
315 ∙ (33)10 = 3x
315 ∙ 330 = 3x
345 = 3x
x = 45
Which of the following are equations of proportional relationships? Select all the correct answers.

ANS: A, E, and F
An apple sells for $0.56. The price of an apple increases by 10% in January, 10% in February and 10% in March. What is the percent change in the price of an apple over the course of the three months?
Easiest method is to choose a nice value for the apple because the percent change will the same.
100 --> 110 --> 121 --> 133.1
Percent change is 33.1%
How many factors does 1,859 have?
1859 = 11 x 132
Number of factors = (1+1)(2+1) = 6
If a number is divisible by all of one through seven, it is also divisible by what number that is greater than 250?
LCM of 1 through 7
2 = 2
3 = 3
4 = 22
5 = 5
6 = 2 x 3
7 = 7
LCM = 22 x 3 x 5 x 7 = 420
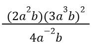
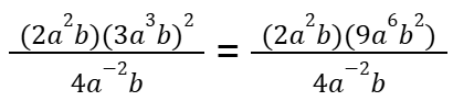
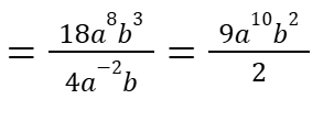
Simplify



Which of the following is the graph of y = 2x2 + 3 ?
Blue Graph
x = 0 y = 3
x = 1 y = 5
A pair of shorts is originally priced at $124. It is on sale with a 15% discount. Jacky also has a coupon that gives her an additional 20% off the sale price. At the register, an additional 8% sales tax is applied to the shorts. How much did Jacky pay for the shorts, including tax, rounded to the nearest cent.
Ans: $91.07
124 x 0.85 = 105.4
105.4 x 0.80 = 84.32
84.32 x 1.08 = 91.0656 = $91.07
If all the variables are prime factors, what is the quotient of the LCM and GCF of


Simplify and express your answer in scientific notation form


ANS: 3.75 x 1011