Konrad buys a skateboard that costs c dollars. After 7.5% sales tax is added, the total cost can be expressed by the expression c + 0.075c. What is this expression written in simplest form?
1.075c
Identify if each expression as linear or not linear. 

Linear: 3x, 8x +4 & 15
Not Linear: 7xy & 2x2
What is the additive inverse of 6x - 21?
-6x + 21
What is the GCF of 10z and 30z?
10z
Simplify 5(2x + 3) - 4x. Write your answer in FACTORED FORM.
3(2x + 5)
Expand the expression -12(4c - 3d) using the Distributive Property.
____c + ____d
-48c + 36d
What is (12x + 5) + (-10x - 3)?
2x + 2
What is (16x - 7) - (12x - 21)?
4x + 14
What is the GCF of 7ab and 21b?
7b
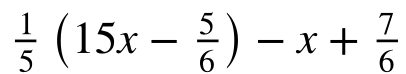
Simplify 
2x + 1
Fill in all three blanks to complete the steps to show how to simplify 2(5n - 2) - 4 and express the result in factored form. 
Step 1: 10n - 4 - 4
Step 2: 10n - 8
Step 3: 2(5n - 4)
The expressions in the table represent how far two friends rode their bicycles on a bike trail. What is the expression that would show the DIFFERENCE between miles ridden by Jackson and the miles ridden by Ayanna. 
n - 3 OR n + (-3)
What is 12bc - 9b written in FACTORED FORM?
3b(4c - 3)
If you use the expression, n - 3, and n = 5, how many more miles did Jackson ride than Ayanna?
2 more miles