Determine if the equation has one solution, no solution or infinitely many solution.
x+8=x
No solution
The slope of the given table of value is

m=5
A right triangle with coordinates A(-2,3), B(-2,6), and C(3, 3) is first rotated 90 degrees counterclockwise and then translated 2 units left and 3 units down to form triangle A'B'C'.
What is the measure of angle B'A'C', in degrees, in the resulting figure?
90 degrees
Describe the intitial value of the following functions:

y = 7/3 x + 4
The y intercept/initial value are equal
Rational or Irrational:
sqrt(12/36)
Rational
Determine if the equation has one solution, no solution or infinitely many solution.
8x - 8 = 6x - 5 + 2(x - 1.5)
infinitely many solutions
The rate of change or the slope of this graph is

m=2
The value of x in the figure shown below.

x = 45 degrees
The value for x that makes the equation
5+3x-37=6x+23-8x
true.
x = 11
Estimate the value of the root to the nearest whole number.
sqrt 118
11
Scott is solving the linear equation x + 6(x-1) = 7(3+x). His final two steps are:
7x-6=21+7x
-6=21
Interpret Scott's solution.
There is no solution since -6=21 is a false statement.
The equation that represents the total cost y, is $20 joining fee and $40 monthly charge, x.
y = 40x +20

What relationship does 5x & y has?
5x + y = 180
5x & y are supplementary angles
The value for x that makes the equation 4x -2 + 2x -7 = 51 true.
x = 10
Solve the equation for
m^3=8/729
2/9
Determine if the equation has one solution, no solution or infinitely many solution.
10(x-2) + 15 = 8x + 7
One solution
This table of values represents a linear function.

The equation that represent this function is
y=4x+4

What word describes the relationship of y & 2(x+6)?
congruent and corresponding angles
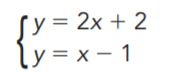
What is the solution of the system of equation

(-3,-4)
x= -3; y= -4
A square tile has an area of 4/9 square inches. What is the length of each side of the tile?
2/3 inches
The statement that correctly describes the solution to this system of equations,
18x -3y = -15
y=6x+5
infinitely many solution
Write the function that represents the graph.

y=-2/3 x + 1
Triangle ABC with vertices A(-1,2), B(-1,-2) and C(-4,-2) is dilated by a scale factor of 2 to form triangle .
What is the length, in units, of B'C' side?

6
Miles and Jonah made a total of 31 pancakes for the school bake sale. Jonah made 7 fewer cakes than Miles.
How many pancakes did each boys made?
Jonah made 12 pancakes.
Miles made 19 pancakes.
Write the number
8.2bar4
as a fraction in simplest form.
8 11/45 or
8 11/45