2 + 4 = __
6!
2 - 1 = __
1!
John has 4 balloons, 2 popped. How many does he have now?
🎈🎈🎈🎈
2! 4 - 2 = 2

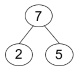
Give me an addition (+) sentence for this number bond.
7 + 3 = 10
or
3 + 7 = 10
Give me a turn around fact for 4 + 2 = 6
2 + 4 = 6
3 + 4 = __
7!
4 - 2 = __
2!
John had 3 apples, Sharon gave him some more, now he has 7. How many apples did Sharon give him?
🍎🍎🍎 / 🍎🍎🍎🍎
4! 3 + 4 = 7

Give me a subtraction (-) sentence for this bond.
8 - 1 = 7
or
8 - 7 = 9
Turn around fact for 3 + 5 = 8
5 + 3 = 8
5 + 5 = __
10!
7 - 3 = __
4!
Emmaleigh had 6 puppies. Alex bought 3 of them, how many does she have now?
🐶 🐶 🐶 🐶 🐶 🐶
3! 6 - 3 = 3

Give me an addition (+) sentence for this bond.
4 + 6 = 10
or
6 + 4 = 10
Turn around fact for 9 - 2 = 7
9 - 7 = 2
4 + 5 = __
9!
10 - 6 = __
4!
Nadia had 8 drinks. Jha'khari drank 2 of them. How many does she have now?
🥤 🥤 🥤 🥤 🥤 🥤 🥤 🥤
6! 8 - 2 = 6

Give me a subtraction (-) sentence for this bond.
7 - 2 = 5
or
7 - 5 = 2
Turn around fact for 5 + 5 = 10
5 + 5 = 10
3 + 8 = __
11!
9 - 6 = __
3!
Owen had 5 basketballs. Kion gave him 2 more! How many does he have now?
🏀🏀🏀🏀🏀 / 🏀🏀
7! 5 + 2 = 7

Give me an addition (+) sentence for this bond.
7 + 2 = 9
or
2 + 7 = 9
Turn around fact for 7 = 3 + 4
7 = 4 + 3