The variables represent the rate and the initial values in the formula y = mx + b.
What are slope and y-intercept?
Select all the relations that are functions.

What are A and D?
x in f(x)
What is the input, independent variable, or the domain of the function?
Each month, Nadeem keeps track of the number of times he visits the library and the number of books he checks out. Is there a correlation if you model his data with a linear equation? Is there a causal relationship?

A. There is a positive correlation and no causal relationship.
B. There is a negative correlation and no causal relationship.
C. There is a causal relationship but no positive correlation.
D. There is neither correlation nor a causal relationship.
What is D?
The representation of variables in the simple interest formula below.
A = P(1 + rt)
What is the balance, initial amount (principal), rate, and time?
Graphing, substitution, and elimination
What are the strategies for solving systems of equations and inequalities?
A researcher team measure the number of breeding pairs of bald eagles in Florida over a 12-year period beginning in 1990. According to the research, the number of breeding pairs increased over this period and was modeled by the function f(x)=50.79x+554.10. The number 50.79 represent what in this context.
What is the change in the number of eagle breeding pairs each year?
At a summer camp, 6-year-olds are in Group A, 7-year-olds are in Group B, and 8-year-olds are in Group C. Function identifies as one-to-one or NOT one-to-one. The group assignment classified as which type of function.
What is one-to-one function?
If f(x) = |5x - 8|, find f(-2).
What is 18?
The table shows savings and expenses of four people.

Choose the correct item to complete the sentences.
The data show (a negative/ a positive/ weak or no) correlation.
The data suggest (no causation/ causation)
What are negative and causation?
Tickets to a play cost $4 in advance (y) and $5 at the door (x). The theater club president wants to raise at least $400 from the ticket sales. Write an inequality for the number of tickets the theater club needs to sell.
What is
5x + 4y >=400?
1. Solve for y to obtain y = mx + b.
2. Plot the y-intercept.
3. Use the slope to plot more points on the coordinate plane to sketch a line.
What is the strategy for graphing linear equations and inequalities.
Solve for the indicated variable in the following formula. SA = 2pir^2 + 2pirh, for h
What is
h = (SA-2pir^2)/(2pir)?
The graphs of two equations that have the same slope but different y-intercept.
What are parallel lines?
The true statement about the function f(x) = |x - 5|.
A. The range of the function is {x|x ∈ R}.
B. The range of the function is {f(x)|f(x) ∈ R, f(x) ≥ 5}
C. The function approaches ∞ as x approaches -∞.
D. The function is positive in the interval 5 <x<∞ and negative in the interval -∞<x<5.
What is option C?
The equation best models the data shown in the scatter plot.

A. y = x - 3
B. y = x - 5
C. y = 3x - 3
D. y = 3x - 5
What is y = 3x - 5?
Look at the function f(x) = |2x - 1|
What will be the change in the graph of the function if f(x) is replaced by f(x) + 1.
A. The graph shift horizontally, to the left by 1 unit.
B. The graph shift horizontally, to the right by 1 unit.
C. The graph shift vertically upwards by 1 unit.
D. The graph shift vertically downwards by 1 unit.
What is C, the graph will shift upwards by 1 unit?
The system of inequalities is shown in by the graph.


What is B?
Luke wants to sell toy cars at a craft fair for $12 each. The materials for each car cost $3.50, and the table rental at the fair costs $34 for the day. The number of cars he must sell for his revenue to equal his expenses is
What is 4?
The graphs of two equations that have negative reciprocal slopes.
What are perpendicular lines?
Jack works after school. Each day he earns a set amount plus an hourly wage.

The reasonable domain for the function Jack used to determine his pay.
A. 0<=x<=6
B. 0<=x<=24
C. 0<=x<=68
D. 0<=x<=248
What is A.
When Hana goes to the mall, she always buys the same lunch and also buys some books. The table shows the number of books she buys, x and the total amount of money she spends, y. The graph shows a scatter plot with a trend line of the data.

Select all the statements about the trend line that are true.
A.The slope is the cost of one book.
B.The slope is the cost of Hana’s lunch.
C.The y-intercept is the cost of one book.
D.The y-intercept is the cost of Hana’s lunch.
E.The trend line goes through the origin.
What are A and D?

What is B - as the average speed increases, the time he takes to get to school decrease?
Which of the following gives a valid reason for using the given solution method to solve the system of equations shown?
Equation I: 4x - 5y = 4
Equation II: 2x + 3y = 2
A. Elimination: a coefficient in Equation I is an integer multiple of a coefficient in Equation II.
B. Elimination: a coefficient in Equation II is an integer multiple of a coefficient in Equation I.
C. Substitution: Equation I can be solved for x in one step by dividing both sides by 4.
D. Substitution: Equation II can be solved for x in one step by subtracting 3y from both sides.
What is A?
In physics, the Ideal Gas Law describes the relationship among the pressure, volume, and temperature of a gas sample. The law is represented with the formula PV = nRT , where P is the pressure, V is the volume, T is the temperature, and n is the amount of gas, and R is a physical constant. Select all the equations that are equivalent to the formula PV = nRT.
A. P = VnRT
B. V = (nRT)/P
C. n = (PV)/(RT)
D. R = PVnT
E.
What are B and C?
Select two equations of lines that are perpendicular to the line whose equations is 2x + 14y = 70.
A. y = 7x + 10
B. y = -1/5x + 12
C. y = -7x + 5
D. y = 1/7x+8
E. 3y = 21x + 8
What are A and E?
The table show the cost of renting ski equipment at a ski lodge. Write a linear function f for the data.

What is
f(x) = 7 + 5x?
For a strong correlation, people often assume that change in one quantity causes change in the second quantity. This is not always true. For the following situation, predict the type of correlation you might find.
“The forecasted high temperature and the actual high temperature”
A. There is negative correlation.
B. There is positive correlation.
C. There is no correlation.
What is B?
Aubrey and Charlie are driving to a city that is 120 miles from their house. They have already traveled 20 miles, and they are driving at a constant rate of 50 mi/h. Write a function that models the distance they drive as a function of time. State a reasonable domain for this situation.
Function notation in slope-intercept form: ________
A reasonable domain: ______ <=x<= ___
What is
f(x) = 20 + 50x; 0<=x<=2?
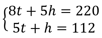
Skyler buys 8 T-Shirts and 5 hats for $220. The next day, he buys 5 T-Shirts and 1 hat for $112. Find the cost of each T-Shirt and each hat. Write a system of equations that can be used to solve the problem. Then Solve the problem.
System of Equations:_____________________
T-Shirt cost: ___________ Hat cost: __________
What is
?
T-Shirt cost: $20
Hat cost: $12