Is (-1,2) a solution to the system of inequalities? Explain your answer.

No, it's not in the shaded area of both inequalities.
Which property is shown below:
(a+b) + c = a + (b+c)
Associative
If
f(x)= -x^2 + 3x - 5
find f(-2)
-15
Given the following sequence: -10, -14, -18, -22, …
Find
aunderset(3)
-18
What actor plays Ken in the 2023 blockbuster movie “Barbie?”
Ryan Gosling
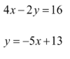
Name the solution to the system of equations below:

(-4, -8)
State the degree and leading coefficient.
7x^6+6x^4+5
Degree = 7
Leading Coefficient = 7
Write the following inequality in slope-intercept form:
-4y+2x<16
y> 1/2x-4
What is the common difference known as on a linear function?
SLOPE!!
Which Harry Potter book holds the record for the fastest selling book in history?
“Harry Potter and the Deathly Hallows”
Solve the following system of equations by SUBSTITUTION:

(3, -2)
Which of the following equations represents a vertical line that passes through the point (4, 2)?
x=4
Which of the following equations represents a horizontal line that passes through the point (5,1)?
y=1
Given the third term is 5 and seventh term is 13. What could the common difference be?
2
How many cards are in a standard deck of playing cards?
52
Two friends went to a restaurant and ordered one plain pizza and two sodas. Their bill totaled $15.95. Later that day, five friends went to the same restaurant. They ordered three plain pizzas and five sodas. Their bill totaled $45.90.
Write and solve a system of equations to determine the price of one plain pizza. DO NOT SOLVE!
x+2y= 15.95
3x+5y=45.90
Simplify the expression completely:
3(x-2)-(2x+3)
x-9
Write the inequality that is graphed below?

y< 1/2x-3
Given the following sequence: -10, -14, -18, -22, …
Find the common difference.
d= -4
What name is singer-actor Stefani Germanotta better known by?
Lady Gaga
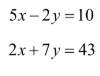
Solve the following system of equations by ELIMINATION:

(4,5)
Find the turning point ("dude without a prom date") for the function:
y= |x-6|
(6,0)
Solve the equation for x, in terms of a, b, and c.
a^2=b^2-2xc
x= (a^2-b^2)/(-2c)
Given the following sequence, -4, 3, 10, 17... find the 21st term.
(HINT USE THE REFERENCE SHEET FORMULA)
136
How many noses does a slug have?
4