Evaluate the expression if a=-2, b=3, c=4.2
a-2b+3c
4.6
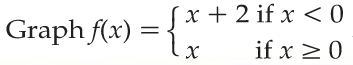
State the domain and range of the function.
{(1,2),(3,4),(5,6),(7,8)}
Domain:
{1,3,5,7}
Range:
{2,4,6,8}
Solve the system of equations.
3x-2y=-2
x+y=6
(2, 4)
What is the equation for the axis of symmetry?
x=(-b)/(2a)
Name the sets of numbers to which the number belongs.
62
N,W,Z,Q
Write the equation in standard form. Identify A, B, and C.
4x-6y=24
2x-3y=12
A=2, B=-3, C=12
Solve the system of equations.
-5x+y-4z=60
2x+4y+3z=-12
6x-3y-2z=-52
(-8, 4, -4)
Solve the equation below by graphing.
x^2-3x-10=0
x=-2
x=5
Solve the equation. Check your solutions.
|a-5|+4=9
{0,10}
Find the x and y intercepts of the equation.
3x-4y-6=15
x-intercept:
(7,0)
y-intercept:
(0,-5.25)
If
A=[[6,-4],[3,-5]] B=[[8,-1],[-2,7]]
Find 4B-2A
[[20,4],[-14,38]]
Solve
2x^2+x-3=0
{-3/2,1}
Solve the inequality. Express your solution in set-builder notation.
-4<g+8<6
{g|-12<g<-2}
Write an equation in slope-intercept form for the line that satisfies the set of conditions.
passes through(4,2) and is perpendicular to y=-2x+3
y=1/2x
Find the product, if not possible write DNE.
[[9, -2]]cdot [[-2, 4], [6, -7]]
[[-30, 50]]
Simplify
sqrt(-32)
4isqrt2
Solve the inequality. Express your solution in set- builder notation.
|q|>=-1
{all real numbers}


Find the inverse of the matrix, if it does not have an inverse write DNE.
[[6, -3], [-1, 0]]
[[0, -1], [-1/3, -2]]
Simplify
i^63
-i