These rules are used to solve equations/inequalities
What are properties of equality
What are the next 3 numbers of this sequence...
1, 3, 7, 15...
31, 63, 127
Given the horizontal axis if a measurement of time in seconds, and the vertical axis is height in meters, estimate and interpret the y-intercept in the context of this problem:

At zero seconds the bird is about 1.5 meters off the ground
y = 4x - 9
y = x - 3
(2, -1)
Many capital cities lie along a river or another body of water. Which river forms one of the borders of Washington, DC?
The Potomac
Who do these belong to?

Bernie Sanders

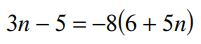
n = -1
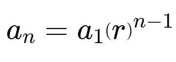
This formula is used to find which type of sequence

Geometric
Given the current jump pattern, how long will Mario be in the air?

6 seconds
4x + 2y = 10
x - y = 13
(6, -7)
A top tourist attraction in Washington, DC is this very large museum. Well, actually, there are many different museums located here, such as the Air and Space Museum, Natural History Museum, and American History Museum. What are these collections of museums called?
The Smithsonian
Who is their second child named after? (2 answers)

Queen Elizabeth AND Princess Diana


What does the "d" stand for in this formula?

The difference between each number
What method can always be used to solve a quadratic equation? (Double points for writing it out)
The Quadratic Formula

6x + 8y = -22
y = -5
(3, -5)
There are several pro sports teams in Washington, DC. Which team does not play home games in Washington, DC?
The Washington Football Team
What type of math is featured in the Spiderman Movie "No Way Home"?
Geometry
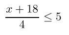
Write an inequality to match this graph. Double points if it involves using multiple properties of inequality

x > 5 or 5< x
Find the first 5 terms of the geometric sequence given:

4, 20, 100, 500, 2500
Solve the following by factoring. Show your work or only half points:
n^2 + 10n + 24 = 0
n = -4 and n = -6
4x - y = 20
-2x - 2y = 10
(3, -8)
Which one of the Nats Park racing presidents has the worst record?
Teddy Rosevelt
What did all of the players in Squid Game have in common?
Debt
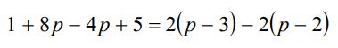
Solve for p

p = -2
Given the following, find the first five terms in the geometric sequence:

-0.2, 1, -5, 25, -125
Solve the following by factoring. Show your work or only half points:
6x^2 - 13x + 3 = -3
x = 2/3 and x = 3/2
-4y - 11x = 36
20 = -10x - 10y
(-4 , 2)
What letter of the alphabet does not have a street named after it?
J
Who's daughter is this that sang at the 2020 Superbowl?

Jennifer Lopez