When you add up all the numbers and divide by how many number there are
Mean
-2x - 5 = 15
-10
30% of 60?
18
What is the slope of the equation:
y = ax + d
a
Which singer broke Spotify’s record for most streams in a single day?
Taylor Swift
Opposite
Example: 2 and -2
Inverse
x/5 = 10
50
20 is what percent of 50?
40%
What is the perpendicular slope to 4x + y = 12
1/4
Cardi B and Offset are almost divorced. Offset is from what rap group?
Migos
What does this represent?
5

2
6% sales tax on $300?
$318
What is the EQUATION of this line?
x = 3
What does this picture mean?
Drunk
What form is this linear equation written in?
4x + 6y = 9
Standard Form
-4 = 20 - 4x
6
40% discount on $36?
$21.60
What is the slope?
4x + 3y = 12
m = -4/3
Who is performing at this years Super Bowl?
Bad Bunny
Like a fraction, a comparison between two quantities
Ratio
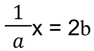
Solve for x.
2ab
Percent increase from 60 to 80?
33%
What is the slope?
4x = 8 - 8y
m = -1/2
What is the real name of the 6-7 kid?
Maverick Trevillian