Linear or not linear?
x^2+5y=8
Not linear
When finding the x-intercept, set ____ =0
When finding the y-intercept, set ____=0
y
x
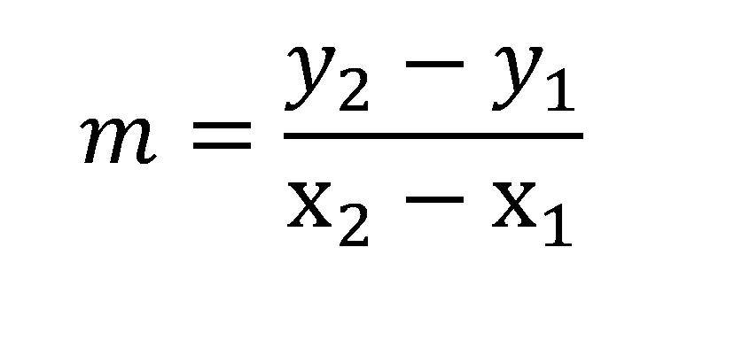
What is the formula we use to find the slope?

Linear or not linear?
7x+3y=21
Linear
What is the x-intercept of the following linear equation? What is the y-intercept?
2x-4y=8
x-intercept =4
y-intercept= -2
Determine the slope of the line described in the table.

m = -3/4
Linear or not linear?
4x+6y^3=32
Not linear
What is the x-intercept of the following linear equation? What is the y-intercept?
4x+y=-5
x-intercept = -5/4
y-intercept = -5
Determine the slope of the line described in the table.

m = 3
Linear or not linear?
8x-3y=-6
Linear
Is the point (4, -5) on the graph of the equation?
3x+2y=4
No
Find the slope of the line that goes through the points (2, 4) and (6, -3)
m = -7/4
What is the standard form of a linear equation?
Ax+By=C
Is the point (4, -5) on the graph of the equation?
2x+3y=-7
Yes
Find the slope of the line that goes through the points (-5, 1) and (-1, 9)
m=2