Which Letter commonly represents slope in a linear equation?
m
What is the minimum amount of points required to generate a unique straight line?
2
Find the slope of the line parallel to:
y = 53/436x + 14,678
53/436
What are the three methods for solving systems of equations?
Which letter represents the correlation coefficient?
r
Undefined
State the slope, x-int, and y-int for the graph below

Slope: -2
y-int: 5
x-int: ~2.5
Find the slope of the line perpendicular to:
y = -7/9x + 4
9/7
What is Mr. Williams' favorite method of solving linear equations?
Estimate the R-value of the scatterplot below

r = (+0.5, +0.75)
Find the slope of the graph below

m =4/3
State the domain and range for the following linear function:
y = -8/9x + 3
D: RR
R: RR
What is the largest amount of times that 2 parallel lines can cross each other?
Daily Double: What is the maximum amount of
times that 2 perpendicular lines can cross each other
Infinite (if they are the same line)
Daily Double: 1
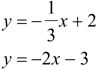
Which method is most appropriate for solving the system below:

Graphing (both equations are in the form y =...)
Use the trendline below to predict the sales of ice cream at 30oC
~$725
Find the slope of the line containing points (-3, 2) and (5, 8)
m=3/4
Convert the following equation in point-slope form to slope-intercept form by solving for y
y-2=3(x-4)
y=3x-10
Write the equation of the line parallel to the line y = 5/6x + 7 that passes through the point (-4, 8) in Point Slope Form
y-8 = 5/6(x+4)
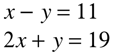
Solve the system of equations below

x = 10, y = -1
The trend line equation relating study time (x, hours) and grade on an exam (y, %) is shown below
y = 5.34x + 67.92
Use the trendline equation to estimate how long someone who scored a 92% on the exam studied for
Roughly 4.5 Hours
The table below shows the cost of mailing a postcard in different years. Between which 2 time intervals show the greatest average change?

Between 2006 and 2012
A line can be found by the intersection of two planes. Two plane equations are shown below. Find a linear equation (in any form) from the two plane equations below
-2x + 4y - 3z = 17
7x + 5y + 3z = 1
Using elimination properties gives us:
5x + 9y = 18
or
y = 5/9x + 2
List the equations of lines that would create a rectangle graph that has an area of
24 units^2
Example Answer:
x = 1, x = 7
y = 0, y = 4
Solve the system of 3 linear equations below:
x + y + z = 6
2x - y = -7
3y + z = 14
x = -2, y = 3, z = 5
Regression is a process not limited to Linear functions. Which other parent functions from CH0 would produce the greatest R-value for the scatterplot below?

Cubic