Factor the following Generic Rectangle 
(x + 5) (x + 7)

y - intercepts happen when...
x = 0
Meaning, plug in 0 for x then solve for y
What is the vertex of the parabola with the equation
y = 4(x - 7)2 + 3
(7 , 3)
(h,k) or "Opposite of inside, take outside"
Draw a picture that models the following situation and label important points:
A ball bounces off the ground, reaches a max height of 4 feet, and lands 12 feet away.

Factor the following generic rectangle

(2x + 5) (x + 2)

Find the x - intercepts from this step:
x2-12x+27
(x-3)(x-9)=0
x=3 and x=9
The x - intercepts of a parabola are 7 and 13.
What is the x-value of the vertex?
(7+13)/2 = 20/2 = 10
What is the vertex form equation?
y = a(x - h)2 + k
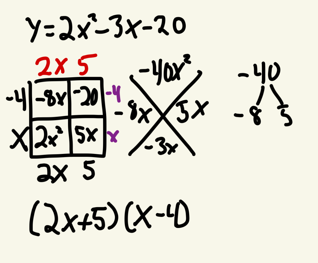
Factor the following equation:
y = 2x2 - 3x - 20
(2x + 5)(x - 4)

Find the x - intercepts from this step:
(2x - 4) (x + 9)
x = 2
x = -9
Find the vertex for:
y = x2 + 12x + 35
(-6,-1)
After sketching the graph of a situation, you find that the vertex is (14, 20) and a critical point on the graph is (28, 0).
Set up the vertex form equation to solve for "a"
