Factor by grouping
x^2+4x-7x-28
What is
(x+4)(x-7)
Simplify
sqrt125
5sqrt5
sqrt-1
What is i?
The end behavior of this polynomial
4x^3+2x^2-5x-1
What is rise right and fall left?
The x and y intercepts of the function y=x^2-81
x int -9 and +9
y int -81
Principal at Palmetto Ridge
Who is Dr. Walcott?
Solve
(x-2)^2=9
What are -1 and 5?
x^(5/2)=243
What is 9?
(3+2i)-(5-i)
What is -2+3i?
Multiply (3x^2+4x-4)(x-7)
3x^3-17x^2-32x+28
Describe the translation y=-2(x+5)^2+4
Reflect over x, vertical stretch by 2, 5 to the left and 4 up
Mrs. Hanlon's Alma Mater
What is The University of Michigan?
The equation for a parabola in vertex form shifted 5 units right, 2 units down, and stretched vertically by a factor of 2
y=2(x-5)^2-2
sqrt2x*sqrt(36x^3)
What is
6x^2sqrt2
Expand
(5+i)^2
What is 24+10i?
Simplify
(x^3-3x^2+2-4x)-(x^2-7x+3)
x^3-4x^2+3x-1
Solve
x^2+2x-8=0
x=-4 and x=2
The address of Palmetto Ridge
1655 Victory Lane
x^2+4x+6
The vertex of this parabola
Describe the transformation include the type of function.
y=-abs(x-2)-4
absolute value reflected over x, 2 right and 4 down
Multiply
(3+i)(5-2i)
What is 17-i?
The zeros and multiplicities of the function:
x^2(x+3)^5(x-2)
What are 0 with multiplicity of 2, -3 with multiplicity of 5 and 2 with multiplicity of 1?
Solve x^2+7x+5=0
What is

Name 3 of the 4 Assistant Principals at Palmetto Ridge?
Ms. Rubenstein, Mr. Monzone, Ms. Tebo, Mrs. Costello
Factor
11x^2-32x-3=0
(11x+1)(x-3)
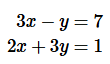
Solve the system

(2, -1)
Solve
x^2+4x+5
-2+-i
Divide
(3x^5-4x^3+5x^2-4x+7)/(x-2)
What is
3x^4+6x^3+8x^2+21x+38+83/(x-2
Divide


Who is the district superintendant?
Who is Dr. Ricardelli?