What are the x and y intercept(s) of this graph?
x-int: (-2,0) and (5,0)
y-int: (0,-10)
Write the resulting function, g(x), given the parent function and its transformations.
f(x)=x2
- Vertically stretched by a factor of 7
- Translated 3 units right and 4 units up
f(x)=7(x-3)2+4
What is the complex conjugate for -7-2i?
-7+2i
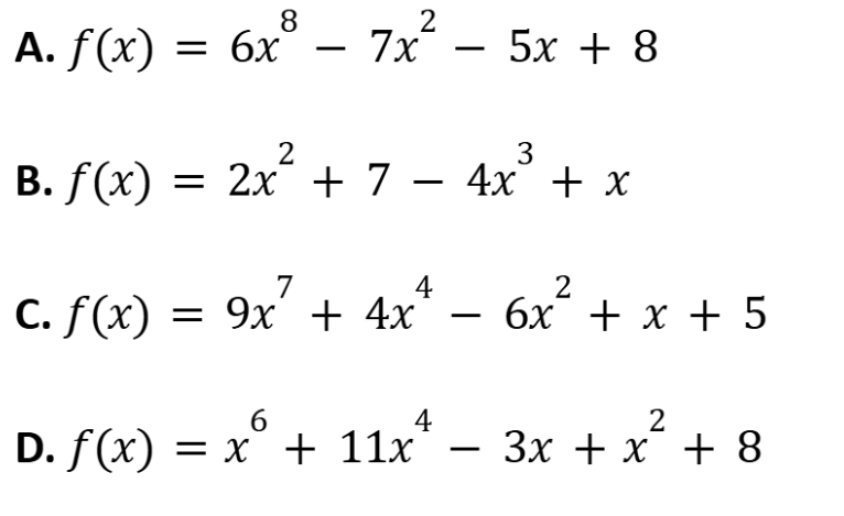
Which polynomials are in standard form (write the letter) 
A and C
What is the domain and range of this graph?

Domain: (-4,4]
Range: [-1,3]

What is the vertex and axis of symmetry for the quadratic function f(x)=3(x-2)2+5
Vertex: (2,5)
Axis of Symmetry: x=2
Find the sum of (8-2i)+(5+7i)
13+5i
How does the graph of f(x)=4x3-1 differ from its parent function? (transformations)
-VS by a factor of 4
-Down 1
What is the interval of increasing for this graph?

(-4,∞)
Factor 4x2-7x-15
(4x+5)(x-3)
Find the difference of (6+2i)-(5-8i)
1+10i
What is the sum of
(6x-5x3+2x2)+(12x3+9x-1)+(7x2-3x3+10)?
Write your final answer in standard form
4x3+9x2+15x+9
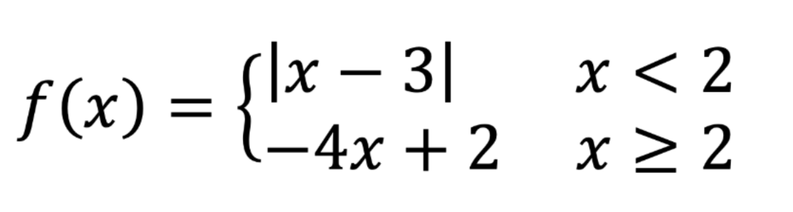
Evaluate the piecewise function at f(2)

f(2)= -6
Factor completely 10x2+50x-240
*Take GCF out first
10(x+8)(x-3)
What is the discriminant for x2+9x+5?
61
What is the multiplicity of f(x)=x3+x2-5x+3 at x=1? Multiple Choice

A. 0
B. 1
C. 2
D. 3
C. 2
Use the graph to solve the following inequality
x2-3x-10<0

(-2,5)
Solve x2-2x-35=0 by factoring
x=-5 or x=7
Solve 7x2-3x-2=0 using the quadratic formula

Describe the behavior at each zero for
f(x)=(x-5)4(x+7)
x=5, touch
x=-7 cross