Keeping it Simple
Radical Conversion
Compose Yourself
Use Your Words
Reverse the Curse
100

It's the simplified version of this expression

sqrt(121)


What is

11 ?

100

It's the radical form of this expression: 

y^(7/2)


What is 

sqrt(y^7)
?

100

If f(x)=2x+1 and g(x)=x2−3, this is the value of f(g(2)).

What is 3?

100

This is a function whose inverse is also a function. 

What is a one-to-one function? 

100

This is the notation for the inverse of f(x).

What is ?

200

It's the simplified version of this expression:

root(5)(32)


What is 2 ?

200

It's the exponential form of this expression:

(root(5)(b))^3


What is 

b^(3/5)
?

200

This is the function composition f(g(x)) of the following functions:
f(x) = x + 2
g(x) = x - 4

What is x - 2 ?

200

This is the test used to determine if a graph is a function. 

What is the vertical line test? 

200

This is the inverse function of the function shown below.

What is ?

300

It's the simplified version of this expression:

root(3)(8a^3b^6

 using rational exponents.

What is 

2ab^2 ?

300

It's the radical form of the expression below:

w^(-5/8)

What is 

1/(root(8)(w^5))  ?

300

Given f(x) = 2x + 3 and g(x) = x3 - 1, this is the value of f(g(-2))

What is - 15 ?

300

This is the range and domain of an "odd root" function. 

What is the set of all real numbers? 

300

This is the algebraic definition of inverse functions.

What is ? 

400

It's the simplified version of this expression:

root(3)(-27a^6b^4c^3)

What is

 ? 

400

It's the value of x that makes the following equation true: 

-3x^(2/3)+21=-6

What is x = 27  ?

400


These are two functions you might get if you decompose the function below.

400

This happens to the domain of a function when you take the inverse. 

When does domain become the range ?

400


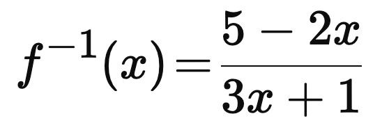
This is the range of f-1(x), given:

500

It's the simplified version of this expression:

(45a^(3/4)b^(-1/2))/(55a^(-2/3)b


What is 

(9a^(17/12))/(11b^(1/2) 

?

500

It's the value for x that makes the equation below true: 

root(4)(5x-2) = root(4)(x+10)

What is x = 3  ? 

500

Given the piecewise functions below, this is the value of g(f(2)).

What is 17?

500

This is when you "restrict" a function in a special way so that it will have an inverse. 

What is restricting the domain? 

500

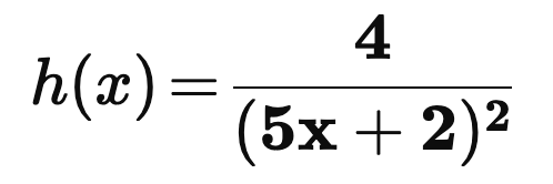
It's the inverse of this function.

What is ?