What is the value of x if
3x-8=67
What is 25?
What are the roots of the quadratic:
x^2-15x+56=0
What is 7 and 8?
What is the equation of the line shown?

What is y=2x+1
What is x and y if
6x+7y = 67
and
7x-6y = 64
What is x=10 and y=1?
The function f(x) is defined as
f(x) = 2x^3-5x^2+6x+67
What is f(3)?
what is 94?
The following graph can be expressed as
y=2(x-h)^2
What is the value of h?

What is 3?
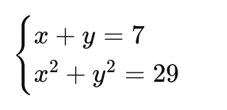
Find all solutions to the system of equations:

What is (5, 2) and (2, 5)?
What is the sum of the roots of the cubic function
x^3-6x^2+11x-6
What is 6?
The following graph can be written as
(x-6)/(2x-k)
What is k?

What is 14?
How many solutions (x, y) does the system of equations have:
4x+y=20
-12x+3y=60
8x+2y=42
What is 0?
What is the coefficient of
x^2
in
(2x+3)^3
what is 36?
The following represents the inequality
4y - c > -13
What is the value of c?

What is -3?
If
9x+3y-5z=-4
and
5x+2y-2z=13
what is the average of x, y, and z?
what is 10?
if, q is an integer, and
x^2+qx=2x-41
has no real solutions, what is the maximum value of q?
What is 14?
The vertex of the quadratic is (4, y). What is y?

What is 7?