Identify the vertex of
f(x)= -2(x+3)2 - 5
What is: (-3,-5)
simplify (2-4i) + (3-2i)
What is: 5-6i
The leading coefficient and degree (type) of:
f(x) = - x3+5x2-13x+7
What is: negative/odd
Solve:
x4+8x3+15x2=0
What are: 0, -3 and -5
The name of Batman's secret identity.
What is: Bruce Wayne
Andy's nickname for Jim in The Office.
What is: Big Tuna
The value 3 in f(x) = 3x2-5x+3
What is: the y-intercept
i2
What is: -1
Identify the zeros:
f(x) = x(x+2)(x-6)2
What are: x=0, x=-2, x=6
Solve:
x1/2+5 = 12
What is: 49
Tom Brady was drafted in this round.
Hint: not in the 1st round.
What is: the 6th round
The name of the boy who owns Buzz Lightyear in the movie Toy Story
Who is: Andy

What is: the Axis of Symmetry
(2 - 3i)(4 + i)
What is: 11 - 10i
Find the remainder:
(x3 - 5x2 + 8x - 18) / (x - 2)
what is: -14
Solve by quadratic formula: (simplify completely)
x2 - 4x + 5=0
What are: 2+i and 2-i
Your favorite math teacher at AHS.
Who is: Mrs. Williams
Spongebob never passed this type of school
What is: Boating School
Average Rate of Change of f(x) = x2-2x+5
between x=1 and x=3
What is: 2
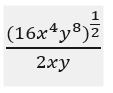
simplify: 
What is: 
Equation for this graph.
What is 
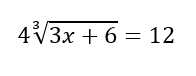
Solve:

What is: x = 7
In what city would you find the Wizard of Oz?
What is: the Emerald City
The name of the hobbit played by Elijah Wood in the Lord of the Rings movies.
Who is: Frodo Baggins
The Axis of Symmetry for:
y = (x+2)(x-6)
What is: 2
(5 + xi) + (y + 6i) = ( -7 + 19i)
What are: x = 13 and y = -12
Equation for the following graph:
What is: y=(x+3)2(x+1)(x-4)3
Simplify:

What is: 2xy3
How many teams are in the American National Football league?
What is: 32
The position Harry plays on the Quidditch team.
What is: Seeker