Expanding
This is the definition of one of the properties of logarithms
Product Property of Logarithms
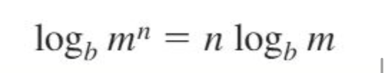
Which property of logarithms is shown?

Power property
Rewrite in exponential form:
log39 = 2
32 = 9
log44
1


log2 + log3
log6
Rewrite in logarithmic form:
30 = 1log31 = 0
log51
0
Expand:

What is:


lnx — ln2
ln(x/2)
Rewrite in logarithmic form:
102 = 100
log100 =2
log1000
3
log2(3x4)
log23 + 4log2x
Write this as a single logarithm.
What is:
Rewrite in exponential form:
ln(3x) = 2
e2 = 3x
log79
1.13
Expand:


What is:

This can be written as a single logarithm:
What is 
Rewrite in logarithmic form:
e2x = 7ln7 =2x
Evaluate

What is 1/3