A correlation coefficient of 0.95 indicates this
What is a strong positive correlation?
The slope of the line 5x - 3y = -15
What is
5/3?
An equation for a quadratic function shifted up by 2
What is f(x) = x2 + 2?
The shape of the graph of a quadratic function.
What is a parabola?
The solution to this system of equations

What is (-1,1)?
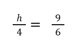
The value of h in this proportion
What is h = 6?
The _____________________ is the slope of a perpendicular line.
What is opposite reciprocal?
The axis of symmetry for the quadratic function f(x) = 2x2 - 8x + 15
What is x = 2?
The number of zeros (x-intercepts) can a quadratic function?
What is 2, 1, or none?
The strategy that would be best for solving this system
14x + 2y = 26
-14x - 6y = -50
What is Elimination because the coefficients on x are the same number with opposite signs?
Simplify
sqrt6*sqrt24
What is 12?
The y-intercept of the line 3x - 10 - 5y = 0.
What is -2?
What kind of transformation is the result of f(x) --> f(-x)?
reflection across y-axis
Find the x-intercepts of the following:
y = x2 - 8x - 20
What are x = 10 and x = -2?
This is how a system of equations with infinite solutions would appear on a graph
What is as a single line
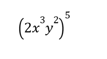
In simplified form
What is 32x15y10?
The intercepts of the line
1/2x + 2y = 6
What are (0, 3) and (12, 0)?
An equation for a quadratic equation with a vertical stretch of 2 and a horizontal shift right 3
What is f(x) = 2(x - 3)2
Factor: 2x2 + 5x + 3
What is (2x + 3) (x + 1)?
The solution to this systems of equations:
-5x - 5y = 10
y = -4x -17
What is (-5, 3)?
2sqrt3 + sqrt12
What is
4sqrt3?
The equation of the line with slope 3/4 and passes through (4, -6)
What is
y = 3/4x - 9?
Describe the transformation of y=x2 to
y=-(x+2)2+5
What is Reflected across the x-axis, translated left 2 and up 5?
For : y = x2 - 6x + 5
a) state the x-intercepts
b) state the vertex
What is x = 5 and x = 1, Vertex (3, -4)
The solution to the systems of equations:
-3x - 24y = -66
3x + 4y = -14
What is (-10, 4)?