What is the solution?

(-1,1)
What is the slope of y=2x+4?
What is m=2?
What is No, not a function? It does not pass the vertical line test.
What is the parent function to all absolute value functions?
f(x) = |x|
True or False: For a piecewise function, we would graph an open dot at x=-2 for a piecewise function with the following domain restriction:
x<=-2
False!
Solve the systems of equations (How many solutions?):
-8x + y = -7
16x - 2y = 14
Infinitely Many Solutions
What is the slope of y + 2x = 4
What is m= -2
Must get in Slope-intercept form first.
y = -2x + 4
What is Yes?
Identify and describe the transformation:
g(x) = |x| + 4
Vertical translation of four up
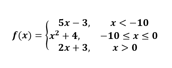
Given the piecewise function f(x), find f(5).

f(5)=13
Solve the systems of equations:
-5x - 5y = 10
y = -4x -17
(-5, 3)
What is the y intercept of y = -3x - 5?
b= -5
The mapping diagram shows a function or not.

What is No, not a function?
Identify the vertex of the following function and graph it.
y=2|x+5|-3
Vertex: (-5,-3)
Given the piecewise function f(x), find f(-10).

f(-10)=104
Graph the system of inequalities.
y >2
y < 2x - 4
Is (0,0) a solution to the system? Why?
No

What is slope of y=-3?
Zero slope
Does the following table represent a function?
x y
1 2
2 5
6 2
2 9
5 1
What is No, because the input (x) of 2 has two different outputs (y)?
What is the domain and range of the following function?
y= |x-3|+4
Domain: All real numbers
Range: y >= 4
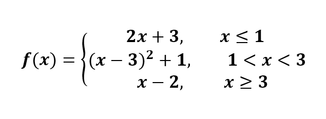
True or False? Given the piecewise function f(x), at x=0 the two piecewise functions that share that domain will connect at the same point.

False!
A farmhouse shelters 10 animals. Some are pigs and some are ducks. Altogether there are 36 legs. How many of each pigs are there?
8
What is the slope of x = 2?
undefined
Is this a function and why?

What is no, because x's repeat at 8?
Find the vertex, axis of symmetry, domain and range of the following function and graph it
y = 1/3|x-1|-5
Vertex: (1, -5)
Axis of symmetry: x = 1
Domain: All real numbers
Range: y >= -5
A piecewise function is said to be "continuous" if there are no breaks or gaps in the line that is formed.
Is this piecewise function continuous?

Yes!
At x=1 both lines meet at (1,5).
At x=3 both lines meet at (3,1).