The value of x in the equation -2x+1=11
x=-5
This is the name for the equation of a line in y=mx+b form.
slope-intercept form
In the standard form of an exponential equation
y=ab^x this is what a represents...
initial value or starting amount or y-intercept
Elimination OR Substitution
2x+x=?
3x (NOT 2x^2 or 3x^2!!)
The value of x in the equation 4x-1=3x+5
x=6
This is the name of the point where a line crosses the y-axis
y-intercept
If an investment of money is growing at a rate of 7.5% per year, the growth factor would be expressed as this value...
b=1.075
The point where two lines INTERSECT on a graph of a system of equations is called this.
solution
In the polynomial 2x-4x^5+1 , the leading coefficient is equal to
-4
x=-2
The x-intercept for the linear equation 3x+4y=12
(4,0) or x=4
A sample of 500 bacteria triples every hour. How many bacteria would there be 24 hours later?
8.3 billion!
Solve the system of equations y=2x-1 and 3x+y=19.
(4,7)
Rewrite (2x-1)^2 as a simplified trinomial.
4x^2-4x+1
The value of x in the equation:
4(x − 7) = 0.3(x + 2) + 2.11
x=8.3
Find the slope of the line: 
m=15

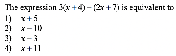
Answer (2)
Solve the system: 2x-4y=4 and x+2y=10.
(6,2)

Nick's sister is 5 years less than twice Nick's age, n. The sum of Nick's age and his sister's age is 41. The equation that represents this situation IN TERMS OF n is given by...
n+2n-5=41
Find the rate of change from the table:

3/2 or 1.5
Write the equation of this exponential graph:
y=1/2(2)^x
If you are solving a system of equations algebraically and you end up with a statement like 1=0, this is what you should conclude about the system.
No solution (parallel lines)

-2x^2+6x+4