What is the saying we use to remember horizontal and vertical lines?
HOY VUX
What is the equation of a line that passes through the point (2,4) and has a slope of -3?
y-4=-3(x-2)
or
y=-3x+10
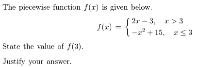
If f(x)=|x-2|-4
Evaluate f(1)
-3
Given the step function, what Division would a 9 year old be in?

Division 2
What is Ms. Rich's favorite animal?
DOLPHINS!
Given the polynomial: 3x2 - 4 +7x4
List the degree of the polynomial and the leading term.
Degree = 4
Leading Term = 7x4
A kayak company charges $35 per person and $245 for a tour guide. Write a function that represents the total cost, C(x), of this kayak tour package for x club members?
C(x) = 35x + 245
The amount of money that an electrician charges to come to your house is represented by the function:
F(x) = 25x+75.
What does the 75 mean in the context of the problem?
$75 is the initial (starting) fee for him coming to your house.
Is the following function a linear function? Write yes/no and explain.

No, it doesn't have a constant rate of change.
Who is the youngest player on the NY Islanders this year that is currently breaking records?
Matthew Schaeffer
What is the equation of the line graphed below?

x=5
Identify the slope and the y-intercept of the line: 2y+6x=14.
slope = -3
y-intercept = 7

f(3) = 6
Write the equation of a line that is parallel to the x-axis that passes through the point (–2, 15 ).
y=15
What Christmas song was originally made to be a Thanksgiving song?
Jingle Bells
Solve for x:

x<=-3.6
What is the average rate between hour 2 and hour 7? Include units in your final answer.

68 mph
Barbara has 3 more dimes than quarters in her pocket. She has a total of $2.50. Write an equation that determines the number of quarters, x.
0.25x + 0.10(x+3) = 2.50.

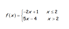
Evaluate f(2).
-3
What is Rhianna's real birth name?
Robyn Fenty
State whether the below is rational or irrational and explain your answer verbally.
5 sqrt(3) +3
Irrational, it cannot be written as a fraction.
If the point (-3,K) lies on the line whose equation is 3x+y =8, what is the value of K?
K=17
State the domain and range of the graph below.

Domain: [0,4]
Range: [0,64]
Identify the slope and y-intercept of the linear function: 2y - 3x = 10
What is slope = 3/2
What is y-intercept = 5
Which fish has no brain or heart?
What is a jellyfish?