I am the part of an expression that stands alone without a variable. My value never changes, no matter what the variable represents.
Constant
There are 12.5 ounces of juice in a bottle. Marcos drinks at a rate of 1.75 ounces per second. How many ounces are in the bottle after 6 seconds?
Expression:________________
Combine & Simplify:________________
12.5 - 1.75s
3.75
An ice cream stand sold 8x - 8 cones on Saturday and 4x + 2 cones on Sunday. What is the total number of cones sold?
12x - 6
2(3x - 5)
6x - 10
Write the expression I have n 5 times
5n
I am the numerical factor that multiplies a variable. I tell you how many of that variable you have, even when I’m not visibly written (like when I equal 1)
Coefficient
A store offers 43% off all items. If the original price is p, write the expression that represent and the final price.
p - 0.43p
0.57p
On Monday, Anthony ran 6x - 4 miles and Edy ran x - 12 miles. What is the difference in the miles they ran?
5x + 8
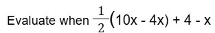
4(x + 3) − 2x
2x + 12
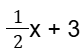
Half of a number added to 3

I am a mathematical phrase made up of numbers, variables, and operations, but I never include an equal sign
Expressions
A store markup certain items 57%. If the original price is p, write the expression that represent and the final price.
p + 0.57p
1.57p
Factor the expression -14x + 7y + 21 using the GCF
-7(2x - y - 3)
3(2m − 5n) + 4m
10m - 15n
A smoothie shop charges $4 per smoothie. Jordan buys x smoothies and uses a $6 gift card. How much money does Marcos pay if he buys 3 smoothies?
$6
We are the individual parts of an expression separated by addition or subtraction signs. Each of us may contain a coefficient, a variable, a constant, or a combination of these
Terms


3m − 9m - 8 + 4 + m - 1
-5m - 5
6x(4 − 5) - x +2x
-5x
A student earns x points for each quiz. They earn points from 2 quizzes, plus 5 bonus points, and later earn 3 more points.
Question:
Write and simplify an expression that represents the total points earned.
Expression:
2x + 5 + 3
Simplified:
2x + 8
I am the process of rewriting an expression by adding or subtracting parts that share identical variable components and exponents, without changing the value of the expression.
Combine Like Terms

2x + 4

-3x +4y - z

x + y + z
I add a number to 8 and I have three of them
Expression:
3(x + 8)
Simplified:
3x + 24
A concert venue sells two types of tickets: general admission and VIP.
• General admission tickets cost 4x+154x + 154x+15 dollars each.
• VIP tickets cost 7x−107x - 107x−10 dollars each.
One group buys 3 general admission tickets and 2 VIP tickets.
Another group buys 5 general admission tickets and 1 VIP ticket.
After simplifying, the venue notices the second group paid $50 more than the first group.
🧠 Big Money Question:
What is the value of x?