What is a chunk of data sent over a network?
What is a packet?
Why is this bad?
no redundancy not fault-tolerant >:(
How are packets sent through the internet?
Packet metadata is used to route and reassemble information traveling through the Internet
Packets take different paths to reach their final destination
Which of the following best describes the digital divide?
Not everyone has equal access to the internet
Tell me how these words work together (use 3 of the words):
Computing device
Computing System
Computing Network
Path
Packet
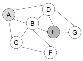
What is the minimum number of paths needed to disconnect D and C?
2
Which of the following is true of how the Internet has responded to the increasing number of devices now using the network?
Protocols were designed to scale as new devices are added
Which of the following best describes the net neutrality?
What is the difference between User Datagram Protocol (UDP) and Transmission Control Protocol (TCP)
UDP focuses on sending information quickly while TCP checks for accuracy
Device C is attempting to send data over the Internet to Device D. Which of the following is true of how the data will travel through the network?
It is possible that the data travels through any of the devices in the network before arriving at device D
Which of the following situations is most likely to cause issues arising from the digital divide?
A. A state makes voter registration forms available only by visiting a government website
B. Two internet-connected devices located in different countries and thousands of miles apart attempt to communicate with one another
C. Packets sent from one router to another begin arriving in a different order than they were sent
D. A smartphone attempts to communicate over the Internet with another type of device, like a tablet or laptop
A
Which of the following best describes the Internet censorship?
Some communication may be blocked on the internet
How are redundancy and fault tolerance related
By having a redundant system you make it fault tolerant.
This diagram shows a number of computing devices connected to the Internet with each line representing a direct connection. What is the MAXIMUM number of paths that could be broken while Computing Device A could still connect with Computing Device E? 
How many is 10?
Which of the Internet protocols is MOST important in reassembling packets and requesting missing packets to form complete messages?
Transmission Control Protocol (TCP)
How can we minimize digital divide?
Lot of things
Provide free services for the community
Giving students computers needed for class
Improving infrastructure
etc
What does then Domain Name System (DNS) do?
The system responsible for translating domain names like example.com into IP addresses

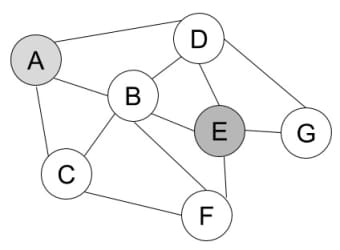
How many different paths are there from C to A? Note you can only go through each node once.
7
What is the difference between HTTP and HTTPS?
HTTPS is secure and take preventative measures from hackers
Name at least two things that would be a consequence of digital divide
Making job applications only online
Making anything specifically online