What is the asymptote of:
f(x)=-2(1/2)^(x+2)-1
y=-1
what type of function would you use to model the following data?

exponential
given the functions, find f(g(-2))
f(x)=2x-1
g(x)=1/2x+3
=3
write a quadratic function that has been reflected, compressed by a factor of 1/2 and shifted up 3 units.
f(x)=-1/2(x)^2+3
the following function models tree height for a its given age (x). how old would a 15ft tree be to the nearest tenths?
y=8+2.4ln(x)
18.5 years old
what type of function is:
exponential
what is the asymptote of:
f(x)=-log2(x+3)-1
x=-3
the following function models the temperature of soup that left on a counter to cool. what would the temp be if it sits for 15 minutes?
y=180.38(.95)^x
83.57 degrees
what the equation of the line in standard form:

3x+4y=-12
find the roots of:
f(x)=2(x-1)^2 +5
(
1+-isqrt(10)/2
,0)
the following function models the temperature of soup that left on a counter to cool. how many minutes until the temp is 73 degrees??
y=180.38(.95)^x
17.6 minutes
write the system for:

x+y=2000
25x+50y=70000
Make a table of values for:
f(x)=log3(x+2)-1
(-1,-1)
(1,0)
(7,1)
A ball is being kicked and is modeled by the function below. x is time in minutes and y is height in feet. When will the ball be 51.3 feet in the air?
f(x)=-5.2x^2+35.9x+.3
2 minutes and about 4.9 minutes
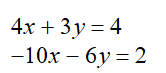
solve the system:

(-5,8)