#1. What is the domain of the function in interval notation?

(-4,6)
#4a. Describe the transformations in the following function:
y=1/2|x+4|
vertical shrink, left 4
#14. state where the function is increasing:

(0,oo)
#10a&b. what are the vertex and axis of symmetry for
y=1/2(x-6)^2-9
vertex:
(6,9)
AOS:
x=6
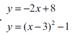
#15. solve by graphing:

(0,8),(4,0)
#2. What is the range of the function in interval notation?

(-oo,4]
#7a. Describe the transformations of the function:
y=-2sqrt(x+1)
reflection, vertical stretch, left 1
#14. state where the function is decreasing:

(-oo, -7)uu(-4,0)
#11c&d. what are the domain and range of the function
y=-3x^2+8
D:
(-oo,oo)
R:
(-oo,8)
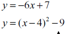
#19. solve by substitution:

(2,5),(-1,8)
What is the domain of an absolute value function?
(-oo,oo)
Write an equation for the function:

y=|x+2|-1
#14. what is the absolute minimum of the function?

The min is -5 at x=0
#13. Find the vertex & the equation of the graph:

y=-(x-1)^2+7
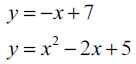
#18. solve by graphing:

(0,7),(2,-5)
#3. What is the domain and range of the function in interval notation?

D:
(-oo,8)
R:
[-2,oo)
#8a. Describe the transformations of the function:
y=1/2sqrt(x-2)-5
vertical shrink, right 2, down 5
#14. What is/are the x-intercept(s) of the function?

(-9,0),(5,0)
#12 a&d. find the vertex and the range of
y=2(x+5)^2-8
vertex:
(-5,-8)
R:
(-8,oo)
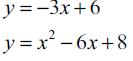
#20. solve by substitution:

(2,0),(1,3)