What is the hypothesis of the following?
If it is a dog, then it is a mammal
It is a dog
What does this symbol mean?
^
And
If possible, make a conclusion

Figure ABCD has 4 right angles
What always goes is the bottom left of every proof?
Prove
Find x

x=18
Which planet shares its name with a chemical element?
Mercury
Find a counterexample to show that each conjecture is false.
All quadrilaterals with 4 right angles are squares
Rectangle/Rhombus
What does this symbol mean?
V
Or
If possible, make a conclusion.
If a student misses the bus, then they will be late for school.
I am late to school
Not valid
Fill in the blank

Segment addition postulate

x=15
What bird is the only bird that can fly backwards?
Hummingbirds
Write the next 2 terms of the following sequence:
1, 3, 9, 27,...
81, 243
What is the truth value of the following?
T ^ F
False
Name the property that justifies going from the first statement to the next

Transitive Property
Vertical angles are what AND what?
Congruent and opposite each other
Finish the song lyric:
I can show you the world, _______ _________ ________ (3 words)
Shining, shimmering, splendid
What type of fish is Nemo?
Clownfish
What kind of statement is a Biconditional?
Reversible/IFF
What is the truth value of the following?
T V F
True
Name the property that justifies going from the first statement to the next.

Symmetric Property
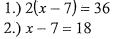
Find x

19
The first person who brings me a blue crayon will receive these points.
*
How many points is a touchdown worth in American Football?
6
In terms of P and Q, write the following:
Converse
Inverse
Contrapositive
Q->P
~P->~Q
~Q->~P
Write the full "parent table" for 3 statements, p,q, and r

Name the property that justifies going from the first statement to the second.

Division Property
Find the measure of each angle

A=45 B=135
First person to make a paper airplane that flies more than 3 feet
*
What are the names of the babies of the following animals?
Goat
Kangaroo
Horse
Kid
Joey
Colt