The solution to the system is 
(4, -3)
x = 4
y = 2x + 1
(4, 9)
Is this system ready for elimination?
No. Both not in standard form.
Can you set these equations equal to each other?
x = 4y - 3
y = -2x + 5
No
A phone plan is $50 a month plus a $20 start up fee. Is this the correct equation to model this?
50x + 20y = 70
No.
It's y = 50x + 20
The solution to the system is
No Solution
y = -10
x = 2y2 + 3y
(70, -10)
Which variable gets eliminated when you add the equations?
x
x = 9y + 5
3y - 7 = xYes. They both are set equal to x
You sell adult tickets for $5 and kids tickets for $3. If you made a total of $150, would this be the correct equation to model this situation?
5x + 3y = 150
Yes
What will an infinite solutions graph of a system of equations look like?
A. Two lines intersecting at a single pointB. Two Parallel Lines
C. A single line. (2 lines on top of each other)
C
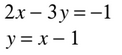
x = y + 7
2x + y = -1
( 2 , -5 )
Now solve it.

( -1 , -1)
Solve this system using equal values method
y = 3x
y = 2x + 1
( 1 , 3 )
Set up the equation for this situation.
Your Tic Toc account decides to start charging a fee. It's $2 a month and $10 to start. Use variables x for months and y for total charge.
y = 2x + 10
Sketch the following to find the solution
y = 2x + 1
y = -x + 4
(1, 3)
y = -2x + 4
3x + 2y = 9
( -1, 6 )
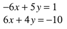
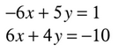
What needs to be done to set up for elimination?

Multiply bottom equation by 3 or
Multiply bottom equation by -4
Solve this system using Equal Values method
x = y + 3
x = -2y - 6
( 0 , -3 )
Set up the equation for this situation
Wait, now Instagram is charging too. They want $3 a month but no sign up fee. Use variables x for months and y for total charge.
y = 3x
Sketch the following to find the solution
y = 1/2 x - 5
y = -2x + 15
( 8, -1 )
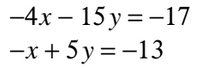
x = 3y + 7
3x - 4y = -4
( -8, -5 )
Now solve it

( 8, -1 )
Solve this using the equal values method
y = 2x + 9
y = 2x - 5
No Solution
Since Tic Toc and Insta are charging, you have to decide which one you want. Find the amount of months, x, and total charge, y, such that the cost is the same.
y = 2x + 10
y = 3x
x = 10, y = 30