Factor
x^2+7x+12
(x+3)(x+4)
Find the GCF of each list of terms:
y^3, y^7, y^10, y^2
y^2
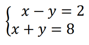
Solve the system using a matrix:

(5,3)
What is the Domain of the given relation?
{(-1,3), (0,4), (1,5), (2,6), (3,7)}
Domain: {-1,0,1,2,3}
Factor
x^2+8x+15
(x+3)(x+5)
Find the GCF of each list of numbers:
15, 23, 48
1
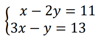
Solve the system of linear equations using a matrix:

(3,-4)
What is the GCF of: 78, 147, 66 ?
3
Factor
x^2-11x+24
(x-3)(x-8)
Find the GCF of each list of terms:
2x^3, 14x^8, 28x, 42x^11
2x
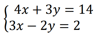
Solve the system of linear equations using a matrix:

(2,2)
Determine if the relation is a function?
{(5,-1), (5,0), (5,1), (5,2), (5,3)}
Function
Factor
x^2+2x-15
(x-3)(x+5)
Find the GCF of each list of terms:
ab^3, a^2b^10, a^5b^5, a^4b^4
ab^3
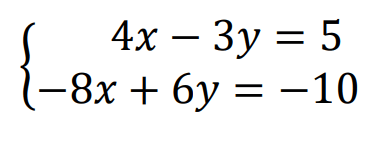
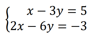
Solve the system:

Same line, Infinitely Many Solutions.
What is the Range of the given graph?

[3,∞)
x^2-2x-35
(x+5)(x-7)
Find the GCF of each list of terms: 15, 35, 125, 255
5
Solve the system.]

No solution, the lines are parallel.
What is the Domain of the given graph?

All Reals