¿Cuál es la función utilizada para imprimir datos en la consola en Python?
print()
Un mosquito choca de frente contra el parabrisas de un camión que viaja a alta velocidad. Al comparar las fuerzas del impacto entre ellos:
La magnitud de la fuerza es exactamente igual para ambos.
¿Qué característica principal define a los Gases Nobles, como el Helio o el Neón, en la tabla periódica?
Son químicamente inertes y estables porque tienen su capa de valencia completa u octeto.
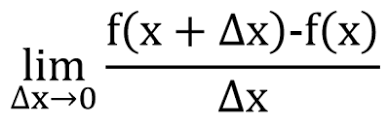
La expresión matemática representa la definición formal de:
La derivada de la función f'(x)
Si tienes una lista frutas = ['manzana','banana','cereza'], ¿Qué valor devuelve frutas[1]?
banana
Un péndulo simple pasa por el punto más bajo de su oscilación. En ese instante exacto, ¿Cómo es la tensión T de la cuerda comparada con el peso mg del objeto?
T es mayor que mg.
Aunque respiramos oxígeno para vivir, este no es el gas más abundante en el aire. ¿De qué está compuesta mayoritariamente la atmósfera terrestre?
De Nitrógeno
Según la primera parte del Teorema Fundamental del Cálculo, si definimos una función

donde f es continua. Entonces la derivada g'(x) es igual a:
f(x)
Si s='Python', ¿Qué devuelve s[-1]?
n
Si un fluido ideal pasa por una tubería horizontal que se estrecha reduciendo su área, ¿Qué ocurre con su velocidad y presión?
La velocidad aumenta y la presión disminuye.
¿Cómo se llama el cambio de estado donde un gas pasa directamente a ser sólido sin pasar por el estado líquido, como ocurre en la formación de escarcha?
Sublimación inversa o Deposición
Si una función f es impar: f(-x) = -f(x), y es continua en [-a, a].
Entonces la integral definida
es:

Cero.
¿Cuál es la salida de: x=10; y=3; print(x % y)?
1
Caminas hacia adelante sobre una superficie rugosa. ¿Cuál es la dirección de la fuerza de fricción que el suelo ejerce sobre las suelas de tus zapatos?
Hacia adelante, en la dirección de tu movimiento.
El Carbono-12 y el Carbono-14 son isótopos. ¿Qué significa esto conceptualmente?
Que son el mismo elemento con igual número de protones pero diferente número de neutrones y masa.
¿Cuándo es válido aplicar la Regla de L'Hôpital para calcular un límite?
Solo cuando tenemos formas indeterminadas del tipo 0/0 o ∞/∞-
Dada la lista [1,2,3,4,5], ¿qué devuelve mi_lista[1:4]?
[2,3,4]
Un patinador gira sobre hielo sin fricción con los brazos extendidos. Al encoger los brazos contra su cuerpo, su velocidad angular aumenta. ¿Qué ocurre con su momento angular L y su energía cinética K?
L se conserva constante, pero K aumenta.
Si intentamos hervir agua en la cima de una montaña alta donde hay menos presión atmosférica, el agua hervirá:
A una temperatura menor a 100°C debido a la baja presión.
Para aplicar el Teorema del Valor Medio a una función f en un intervalo cerrado [a, b], la función debe ser obligatoriamente:
Continua en el intervalo cerrado [a, b] y diferenciable en el abierto (a, b).