The end behavior of the following function.
f(x) = -3x4 + 3x2 - 9x + 11
What is fall to the right and fall to the left?
The simplified form of the following expression.

What is Zero?
Solve:
x - 3(2 + x) = 15x - 5
What is x = -1 / 17 ?
f(x) = 1 / (x - 3)
What is y = 0 ?
Express the following in standard form.

What is 
The end behavior of the following function,

What is rise to the right and fall to the left ?
The simplified form of the following, three decimal places.

What is 2.322 ?
Solve the following equation.
What is x = -6, and x = 0 ?
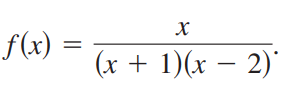
Identify the Vertical and Horzontal Asymptotes of the function,

What is x = -1, x = 2, and y = 0 ?
Evaluate the following,

What is

Evaluate the function,

What is 
The expanded verion of the following expression.
What is

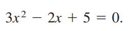
What is/are the solutions to the following,

What is x = -63 ?
State the domain of the function,

What is {x:x does not equal 2} ?

What is f(-2) = -9 ?
What is 1 + 1 + 1 - 1 + 1 + 1 + 1 - 1 - 1 - 1 + 1 ?
What is 3 ?
Solve the following equation.

What are the solutions.
What is the inverse of the following function,
f(x) = 3x2 - 4
What is y = Sqrt((x + y ) / 3) ?
Given the function, find f(-2).

What is 6 ?
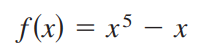
Identify the Zeros of the function,
f(x) = 3(x -4)3(x + 5)4 (x2 + 1)
The solution to the following equation.

What is x = 5 ?
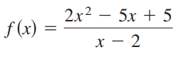
What is the oblique asymptote of the function,

What is No Oblique Asymptote?
In a research experiment, a population of fruit flies is increasing according to the law of exponential growth. After 2 days there are 200 flies, and after 4 days there are 700 flies. How many flies will there be after 5 days?
What is 1310 ?
Find the center and radius of the circle,

What is center = (2, -3), and radius = 4/3 ?