Treating physical illness, balance eating, avoid mood altering drugs and alcohol, balance sleep and get exercise make up what skill?
What is the PLEASE skill.
What is the largest land mammal?
The African Elephant
What is the base ingredient of gummy bears?
Gelatin
This skill is also known as "looking skill".
What is observe.
Emotions come with specific ACTION URGES that push us to act in certain ways. Often we escape the pain of the emotion in harmful ways. When the emotion is doing more harm than good we need to start doing ______ action.
Opposite.
Which musician hold the record for most Grammy's of all time?
Beyonce
...i don't get it either
What is the primary ingredient in the Middle Eastern dish falafel?
chickpeas
Which of the following is a mindfulness question?
A) What is one goal I hope to accomplish today?
B) What brings me joy?
C) How is my physical and emotional condition today?
ALL OF THEM ARE
(insert evil laugh here)
HAHAHAHA
What is one of the emotion regulation goals?
-Understand the emotions you experience
-Reduce emotional vulnerability and stop unwanted emotions from starting in the first place
-Decrease the frequency of unwanted emotions
- Decrease emotional suffering; stop or reduce unwanted emotions once they start
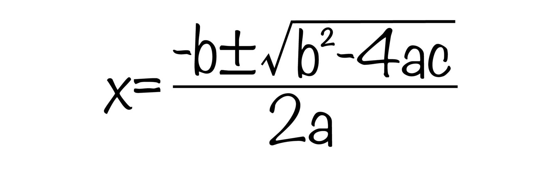
What is this picture?

The Quadratic Formula
...I really how Tim knew this being that he is a teacher
What does it mean to macerate fruit?
To soak it in a flavorful liquid (such as alcohol) or toss it in sugar
What are two Wise Mind Values?
Contribute, attend to relationships, be part of a group, build character, be responsible, achieve things, learn, have fun, focus on family, be a leader, be healthy, strive for moderation, etc.
The letter in ACCEPTS mean...
What is Activities, Contributing, Comparisons, Emotions, Pushing away, Thoughts and Sensations.
What are the two outermost colors on the upper and lower ends of a rainbow?
Red and violet
What's the most stolen grocery item?
CHEESE
...has iliana done this?
maybe...maybe not...but def maybe
What does it mean to take hold of your mind?
Being in control of your mind rather than letting your mind be in control of you!
Which chemical element has the symbol "Pt" on the periodic table?
Tim its your time to shine
Platinum
Tim I hope you shined..otherwise time to resign
What condiment was used for its medicinal qualities in the 1800s?
Ketchup
...please don't start drinking ketchup
and if you do...blame ashley