definition:
All whole numbers and their negative counterparts
What is a integer?
Extreme exaggeration - used to emphasize a point and make an impression.
What is hyperbole?
Definition: A number with no fractional or decimal part. Cannot not be negative
What is a whole number?
Definition:
Is it Blather? Or Demonic? or Badger?
What is Badger?
This type of angle measures exactly 90°?
What is a right angle?
Just an expression - using words with other meanings to keep you guessing
What is idiom?
What type of problem is this.....
2+6=?
What is addition?
Definition: partially open
Is it Allure? or Ajar? or Aftermath?
What is Ajar?
Definition:
A number that stays fixed in an expression
What is a constant?
Compares two items using "like or as"
What is a simile?
What does GCF stand for?
Definition:
Is it Craven? Creditor? Demonic?
What is Craven?
Factor 18x/6
What is 6(3x/1)
Words that imitate the representation of a sound that a word would make
What is onomatopoeia?
If the perfect square is 100, what is the square root?
What is ±10?
Definition:
Is it Bulwark? Or Cache? or Bleak?
What is Bleak?
work this problem
-20 * -18
What is 360?
Gives human qualities to non-living things
What is personification?

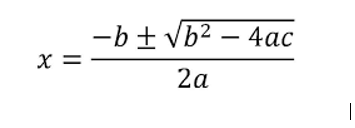
What is the quadratic formula?
Definition:
Is it Desiccate? or Deft?
What is Desiccate?